zotyÖÐÅ·ÌåÓý

English zotyÖÐÅ·ÌåÓý¼¯ÍÅÆóÒµÓÊÏä

µÚ¶þ½Ú ¼ÆÊý×ÊÁϵÄÏÔÖøÐÔÄ¥Á·

×÷ÕߣºÐìÈÙÏé ³öÊéÉ磺Öйú¿ÆÑ§ÊÖÒÕ³öÊéÉç ¿¯ÐÐÈÕÆÚ£º2009Äê7ÔÂ

¹ØÓÚ¼ÆÊý×ÊÁÏÕâЩÏà¶ÔÊýÎÒÃÇÖ»ÖªËüÃÇµÄÆéá«£¬£¬£¬£¬ £¬£¬²»ÖªÆäÓÐÎÞͳ¼ÆÑ§ÒâÒ壬£¬£¬£¬ £¬£¬Ö»ÓÐͨ¹ýÏà¶ÔÊýµÄÏÔÖøÐÔÄ¥Á··½ÄÜÃ÷È·¡£¡£¡£¡£¡£¡£¡£¡£³£ÓÃÒªÁìΪUÄ¥Á·Óëχ2Ä¥Á·¡£¡£¡£¡£¡£¡£¡£¡£
Ò»¡¢ÂʵÄuÄ¥Á·
ÂʵÄuÄ¥Á·ÊÇÓ¦ÓùæÄ£½ÏΪ¹ãµÄÒ»ÖÖÏÔÖøÐÔÄ¥Á·ÒªÁ죬£¬£¬£¬ £¬£¬¿ÉÊÇÔÚÓÃÓÚÑù±¾ÂÊÓë×ÜÌåÂʽÏÁ¿Ê±£¬£¬£¬£¬ £¬£¬»òÁ½¸öÑù±¾ÂʽÏÁ¿Ê±£¬£¬£¬£¬ £¬£¬Ó¦µ±Ë¼Á¿Æä²î±ðÊÇ·ñÓÉÓÚ³éÑùÎó²îËùÔì³ÉµÄ¡£¡£¡£¡£¡£¡£¡£¡£´óÑù±¾µÄÑù±¾ÂÊÂþÑܽüËÆÕý̬ÂþÑÜ£¬£¬£¬£¬ £¬£¬¿ÉÓÃÕý̬ÂþÑܵļÍÂÉÄ¥Á·Ñù±¾ÂÊÓë×ÜÌåÂÊ»òÁ½¸öÑù±¾Âʲî±ðµÄÏÔÖøÐÔ¡£¡£¡£¡£¡£¡£¡£¡£ÆäÅжϱê׼Ϊ£º

£¨Ò»£©Ñù±¾ÂÊÓë×ÜÌåÂʵĽÏÁ¿
Ñù±¾ÂÊÓë×ÜÌåÂʽÏÁ¿µÄÄ¿µÄÊÇÍÆ¶Ï¸ÃÑù±¾Ëù´ú±íµÄ×ÜÌåÂÊÓëÒÑÖª×ÜÌåÂÊÊÇ·ñÏàͬ¡£¡£¡£¡£¡£¡£¡£¡£¹«Ê½Îª£º

pΪÑù±¾ÂÊ£¬£¬£¬£¬ £¬£¬πΪ×ÜÌåÂÊ£¬£¬£¬£¬ £¬£¬σPΪÂʵıê×¼Î󣬣¬£¬£¬ £¬£¬ÓÉ×ÜÌåÅÌËãµÃ³ö
ʾÀý3ª²4ª²3ƾ֤ÁÙ´²ÂÄÀú£¬£¬£¬£¬ £¬£¬Î¸Ê®¶þÖ¸³¦À£Ññ»¼ÕßÖУ¬£¬£¬£¬ £¬£¬Ò»Ñùƽ³£ÇéÐÎÏÂÓÐ20%µÄ²¡È˻ᱬ·¢Î¸³öѪ֢״£¬£¬£¬£¬ £¬£¬ÏÖijҽԺÊÓ²ìÉÕÉ˲¡ÈË152Àý£¬£¬£¬£¬ £¬£¬ÆäÖÐ48ÀýÉËǰÓйýθ³öѪ²¡Ê·£¬£¬£¬£¬ £¬£¬ÎÊÉËǰ»¼ÓÐθʮ¶þÖ¸³¦À£ÑñµÄÉÕÉ˲¡ÈËÊÇ·ñÈÝÒ×±¬·¢Î¸³öѪ£¿£¿£¿£¿£¿£¿£¿£¿
¡¾½âÌâ°ì·¨¡¿
¿É½«¸ÃÀýÖÐθʮ¶þÖ¸³¦À£Ññ»¼ÕßÓÐ20%±¬·¢Î¸³öѪÂÊÊÓΪ×ÜÌåÂÊπ£¨ÊǰÑÈËÃǹ«ÈÏ»òÂÄÀúÊýÖµ×÷Ϊ×ÜÌåÂÊ£©¡£¡£¡£¡£¡£¡£¡£¡£
1ª±½¨ÉèÄ¥Á·¼ÙÉ裺¼ÙÉ軼ÓÐθʮ¶þÖ¸³¦À£Ññ²¡µÄÉÕÉ˲¡ÈËθ³öѪÂÊ£¨p£©ÓëÒ»Ñùƽ³£Î¸Ê®¶þÖ¸³¦À£Ññ»¼ÕߵijöѪÂÊ£¨π£©ÎÞ²î±ð£¬£¬£¬£¬ £¬£¬¼´Ñù±¾ÂÊ£¨P£©ÊÇÓÉ×ÜÌåÂÊ£¨π£©ÖÐËæ»ú³éÈ¡µÄ£¬£¬£¬£¬ £¬£¬Á½ÕßÎÞ²î±ð¡£¡£¡£¡£¡£¡£¡£¡£ÊÂʵÉÏ£¬£¬£¬£¬ £¬£¬ÊµÑéÑо¿Ð§¹û×ÜÊÇÓÐÁ½ÖÖÇéÐΣºÒ»ÖÖÊǽÓÊÜËù½¨ÉèµÄÄ¥Á·¼ÙÉ裬£¬£¬£¬ £¬£¬Ò»ÖÖÊǾܾø½¨ÉèµÄÄ¥Á·¼ÙÉè¡£¡£¡£¡£¡£¡£¡£¡£
¢ÙÉèǰÕßΪH0£ºπ=π0£»£»£»£» £»£»£»¢ÚÉèºóÕßΪH1£ºπ≠π0¡£¡£¡£¡£¡£¡£¡£¡£
2ª±È·Á¢ÏÔÖøÐÔË®×¼£ºα=0ª±05
3ª±ÅÌËãuÖµ£º½«Ê¾Àý3ª²4ª²3ÖÐÊý¾Ý´úÈ빫ʽ£¨3ª²4ª²6£©£º

4ª±È·¶¨PÖµ£ºÓÉÓÚu=3ª±58£¬£¬£¬£¬ £¬£¬¶ø3ª±58£¾2ª±58£¬£¬£¬£¬ £¬£¬¹ÊP£¼0ª±01¡£¡£¡£¡£¡£¡£¡£¡£
5ª±ÍƶϽáÂÛ£ºÔÚα=0ª±05Ë®×¼ÉÏ£¬£¬£¬£¬ £¬£¬¾Ü¾øH0£¬£¬£¬£¬ £¬£¬½ÓÊÜH1£¬£¬£¬£¬ £¬£¬ÒòP£¼0ª±01£¬£¬£¬£¬ £¬£¬ÒÔÊÇÓкÜÊÇÏÔÖøÐÔ²î±ð£¬£¬£¬£¬ £¬£¬ÉËǰ»¼ÓÐθʮ¶þÖ¸³¦À£ÑñµÄÉÕÉ˲¡ÈË£¬£¬£¬£¬ £¬£¬Æäθ³öѪÂÊÓëÒ»Ñùƽ³£Î¸Ê®¶þÖ¸³¦À£Ññ»¼ÕߵijöѪÂÊÓÐʵÖʲî±ð£¬£¬£¬£¬ £¬£¬¿ÉÒÔΪ»¼Î¸Ê®¶þÖ¸³¦À£ÑñµÄÉÕÉ˲¡È˽ÏÒ»Ñùƽ³£Î¸À£Ññ»¼ÕßÈÝÒ×±¬·¢Î¸³öѪ¡£¡£¡£¡£¡£¡£¡£¡£
£¨¶þ£©Á½¸öÑù±¾ÂʽÏÁ¿µÄUÄ¥Á·
Á½¸öÑù±¾ÂʽÏÁ¿µÄÄ¿µÄÊÇÍÆ¶ÏÁ½¸öÑù±¾¸÷×Ô´ú±íµÄÁ½¸ö×ÜÌåÂÊÊÇ·ñÏàͬ¡£¡£¡£¡£¡£¡£¡£¡£³£ÓÃUÄ¥Á·ºÍχ2Ä¥Á·£º
UÄ¥Á·ÅÌË㹫ʽ£º

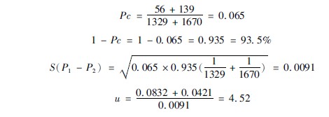
ʾÀý3ª²4ª²4ÈçijҽԺ¶Ô1 329ÀýÉÕÉ˲¡È˾ÙÐÐÓ¦¼¤ÐÔÀ£Ññ³öѪµÄÔ¤·ÀÐÔÖÎÁÆ£¬£¬£¬£¬ £¬£¬ÓÐ56Àý±¬·¢ÁËθ³öѪ£¬£¬£¬£¬ £¬£¬·¢²¡ÂÊΪ4ª±21%£¬£¬£¬£¬ £¬£¬1 670ÀýÉËÇéÏàËÆµÄ²¡ÈËδ¾ÙÐÐÔ¤·ÀÐÔÖÎÁÆ£¬£¬£¬£¬ £¬£¬Æä³öѪÂÊ´ï8ª±32%£¬£¬£¬£¬ £¬£¬ÎÊÁ½×éÑù±¾Ó¦¼¤ÐÔÀ£Ññ³öѪµÄ·¢²¡ÂÊÓÐÎÞ²î±ð£¿£¿£¿£¿£¿£¿£¿£¿
¡¾½âÌâ°ì·¨¡¿
1ª±½¨ÉèÄ¥Á·¼ÙÉ裺H0£ºπ1=π2£¬£¬£¬£¬ £¬£¬H1£ºπ1≠π2¡£¡£¡£¡£¡£¡£¡£¡£
2ª±È·¶¨ÏÔÖøÐÔˮƽ£ºα=0ª±05¡£¡£¡£¡£¡£¡£¡£¡£
3ª±ÅÌËãuÖµ£ºn1=1329£¬£¬£¬£¬ £¬£¬X1=56£¬£¬£¬£¬ £¬£¬P1=0ª±0421£¨56/1329£©£¬£¬£¬£¬ £¬£¬n2=1670£¬£¬£¬£¬ £¬£¬X2=139£¬£¬£¬£¬ £¬£¬P2=0ª±0823£¨139/1670£©¡£¡£¡£¡£¡£¡£¡£¡£
´úÈ빫ʽ£¨3ª²4ª²9£©¡¢£¨3ª²4ª²10£©¡¢£¨3ª²4ª²7£©£º

4ª±È·¶¨PÖµ£ºÒò4ª±25£¾2ª±58£¬£¬£¬£¬ £¬£¬¹ÊP£¼0ª±01¡£¡£¡£¡£¡£¡£¡£¡£
5ª±ÍƶϽáÂÛ£ºÔÚα=0ª±05µÄË®×¼ÉÏ£¬£¬£¬£¬ £¬£¬¾Ü¾øH0£¬£¬£¬£¬ £¬£¬½ÓÊÜH1¡£¡£¡£¡£¡£¡£¡£¡£ÒòP£¼0ª±01£¬£¬£¬£¬ £¬£¬²î±ðÓи߶ÈÏÔÖøÐÔ£¬£¬£¬£¬ £¬£¬¹ÊÒÔΪԤ·ÀÐÔÖÎÁÆ×éÓë±ÈÕÕ×éµÄÓ¦¼¤ÐÔÀ£Ññ³öѪÂÊÓÐʵÖʲî±ð£¬£¬£¬£¬ £¬£¬Ô¤·À×éÓ¦¼¤ÐÔÀ£Ññ³öѪ±¬·¢ÂʵÍÓÚ±ÈÕÕ×飬£¬£¬£¬ £¬£¬Ô¤·ÀÖÎÁÆÓÐÓᣡ£¡£¡£¡£¡£¡£¡£
¶þ¡¢χ2Ä¥Á·
χ2Ä¥Á·ÊÇÓ¢¹úͳ¼ÆÑ§¼ÒKª±pearsonÌá³öµÄ£¬£¬£¬£¬ £¬£¬ºó¾­YatesУÕýˢУ¬£¬£¬£¬ £¬£¬ÏÖÒѳÉΪרÓÃÓÚÁ½×é°Ù·ÖÂʵij£ÓÃÏÔÖøÐÔÄ¥Á·¹«Ê½¡£¡£¡£¡£¡£¡£¡£¡£“χ”ΪϣÀ°×Öĸ£¬£¬£¬£¬ £¬£¬¶ÁÒôΪ“Kai”£¬£¬£¬£¬ £¬£¬¹Êχ2Ä¥Á··¨ÓֳƓ¿¨ÒªÁ씡£¡£¡£¡£¡£¡£¡£¡£Ó¦ÓùæÄ£ÓëUÄ¥Á·²»ÍêÈ«Ïàͬ£¬£¬£¬£¬ £¬£¬Ç°ÕßÖ÷ÒªÕë¶ÔÑù±¾ÂÊÓë×ÜÌåÂʾÙÐнÏÁ¿£¬£¬£¬£¬ £¬£¬Ò²¿ÉÓÃÓÚÁ½¸öÑù±¾ÂʵĽÏÁ¿£»£»£»£» £»£»£»¶øχ2Ä¥Á·Ö÷ÒªÓÃÓÚÍÆ¶ÏÁ½¸ö¼°Á½¸öÒÔÉÏ×ÜÌåÂÊ£¨»ò×é³É±È£©Ö®¼äµÄÄ¥Á·£¬£¬£¬£¬ £¬£¬¼ì²éÁ½¸ö·ÖÀà±äÁ¿Ö®¼äÓÐÎÞ¹ØÏµ£¨»ò¹ØÁª£©¡£¡£¡£¡£¡£¡£¡£¡£
£¨Ò»£©χ2Ä¥Á·»ù±¾¹«Ê½ÓëÅÌËãÒªÁì
χ2Ä¥Á·µÄ»ù±¾¹«Ê½£º

AΪÏÖʵÊÓ²ìÊý£¬£¬£¬£¬ £¬£¬TΪÀíÂÛÅÌËãÖµ£¬£¬£¬£¬ £¬£¬ ∑£¨Ï£À°×Öĸ£¬£¬£¬£¬ £¬£¬¶ÁÒôSigma£©ÌåÏÖ×ܺ͡£¡£¡£¡£¡£¡£¡£¡£¾ÙÀýÚ¹ÊÍÆäÒªÁì¼°Ô­Àí¡£¡£¡£¡£¡£¡£¡£¡£
ʾÀý3ª²4ª²5ijҽԺ¶ÔÒÑÍùÖÎÁƵÄÉÕÉ˲¢·¢°ÜѪ֢µÄ²¡Àý¾ÙÐлØÊ×ÐÔ×ܽᣬ£¬£¬£¬ £¬£¬205Àý´óÃæ»ýÉÕÉ˲¡È˲¢·¢°ÜѪ֢µÄÀýÊýΪ43£¬£¬£¬£¬ £¬£¬¶ø134ÀýÖеÈÉÕÉËÃæ»ý²¡È˲¢·¢°ÜѪ֢µÄÀýÊýΪ13£¬£¬£¬£¬ £¬£¬ÎʰÜѪ֢µÄ±¬·¢ÓëÉÕÉËÃæ»ýÓÐÎÞ¹ØÏµ£¿£¿£¿£¿£¿£¿£¿£¿
¡¾½âÌâ°ì·¨¡¿
1ª±½«ÊÓ²ì×ÊÁÏÁÐÈë±í£¨±í3ª²4ª²2£©ÖУº

2ª±½¨Éè“Ä¥Á·¼ÙÉ蔣¨ÎÞЧ¼ÙÉ裩£¬£¬£¬£¬ £¬£¬¼´ÈôÊÇ´óÃæ»ýÓëÖеÈÃæ»ýÉÕÉË×éµÄ°ÜѪ֢±¬·¢ÂÊÖ®¼äûÓÐʵÖʲî±ð£¬£¬£¬£¬ £¬£¬ËµÃ÷°ÜѪ֢µÄ±¬·¢ÂÊ£¨21%ºÍ9ª±7%£©À´×Ôͳһ×ÜÌ壬£¬£¬£¬ £¬£¬ÕâÖÖ²î±ðÊÇÓɳéÑùÎó²îÔì³ÉµÄ¡£¡£¡£¡£¡£¡£¡£¡£Æ¾Ö¤Õâ¸ö¼ÙÉ裬£¬£¬£¬ £¬£¬¿ÉÒÔÓÃÁ½¸ö×éµÄºÏ¼Æ·¢²¡ÂÊ£¨16ª±5%£©Îª¼ÙÉèµÄÀíÂÛ×ÜÌ壬£¬£¬£¬ £¬£¬²¢ÒÔ´Ë×÷ΪÅÌËãÖµµÄÀíÂÛ»ù´¡¡£¡£¡£¡£¡£¡£¡£¡£
3ª±ÅÌËã¸÷×éµÄÀíÂÛÊýTÖµ£ºÀíÂÛÊýÖµÊÇÆ¾Ö¤Ä¥Á·¼ÙÉèÍÆÂÛµÄÁ½×鲡ÈËÊýÖÐÓ¦Óеı¬·¢°ÜѪ֢ÈËÊý£¬£¬£¬£¬ £¬£¬¼´Á½×é¶¼°´16ª±5%»¼²¡ÂÊÅÌË㣬£¬£¬£¬ £¬£¬Ó¦µ±Óм¸¶àÈË»¼²¡Óë²»»¼²¡¡£¡£¡£¡£¡£¡£¡£¡£´óÃæ»ýÉÕÉË×é205ÈË£¬£¬£¬£¬ £¬£¬³ËÒԺϼƻ¼²¡ÂÊ16ª±5%£¬£¬£¬£¬ £¬£¬¼´ÊÇ´óÃæ»ýÉÕÉË×éÀíÂÛÉÏÓ¦µ±±¬·¢°ÜѪ֢µÄÈËÊý£¨205×16ª±5%=33ª±83£©£¬£¬£¬£¬ £¬£¬¼´ÎªÀíÂÛÖµ£»£»£»£» £»£»£»¶øÎ´±¬·¢°ÜѪ֢µÄÈËÊýΪ£¨205-33ª±83=171ª±17£©171ª±17¡£¡£¡£¡£¡£¡£¡£¡£Í¬Àí£¬£¬£¬£¬ £¬£¬ÔÙÇó³öÖеÈÉÕÉËÃæ»ý×鲡È˵ÄÀíÂÛֵΪ22ª±11£¬£¬£¬£¬ £¬£¬²»±¬·¢°ÜѪ֢µÄÀíÂÛֵΪ£¨134-22ª±11=111ª±89£©111ª±89¡£¡£¡£¡£¡£¡£¡£¡£
½«ÅÌËãµÄÀíÂÛÖµ»ãÈë±í3ª²4ª²3ÖС£¡£¡£¡£¡£¡£¡£¡£

4ª±´úÈëχ2Öµ¹«Ê½£¨3ª²4ª²11£©ÅÌËãχ2Öµ£º

χ2ÖµÎÞµ¥Î»£¬£¬£¬£¬ £¬£¬ÓëËüÏìÓ¦µÄ¸ÅÂÊΪ5%µÄχ2Öµ£¨χ2 0ª±05£©ºÍ¸ÅÂÊΪ1%µÄχ2Öµ£¨χ20ª±01£©£¬£¬£¬£¬ £¬£¬¿ÉÓÉ¿¨·½¼òÃ÷½çÖµ±í3ª²4ª²4Öвé³ö¡£¡£¡£¡£¡£¡£¡£¡£
ÈôÊÇÉÏÊöÄ¥Á·×¼È·£¬£¬£¬£¬ £¬£¬A-T²îÖµ²»»á̫С£¡£¡£¡£¡£¡£¡£¡£¬£¬£¬£¬ £¬£¬ÈçA-TÏà²îÌ«´ó£¬£¬£¬£¬ £¬£¬Ä¥Á·¼ÙÉ轨ÉèµÄ¿ÉÄÜÐԾͲ»´ó¡£¡£¡£¡£¡£¡£¡£¡£
5ª±Æ¾Ö¤χ2ÖµÓë×ÔÓɶȲéχ2Öµ±í£ºÊ×ÏÈÈ·¶¨×ÔÓɶȣ¨df»òn′»òr£¬£¬£¬£¬ £¬£¬£©£¬£¬£¬£¬ £¬£¬ÒòËĸñ±íÖÐÓÐËĸöÀíÂÛÖµ£¬£¬£¬£¬ £¬£¬Ö»ÒªÏÈÓó˳ý·¨Çó³öÈκÎÒ»¸ö£¬£¬£¬£¬ £¬£¬ÆäÓàÈý¸ö¿ÉÓüõ·¨Çó³ö¡£¡£¡£¡£¡£¡£¡£¡£ÕâÖÖ±ØÐèÏÈÓó˳ý·¨Çó³öÀíÂÛÖµµÄ¸ñ×ÓÊý½Ð×ÔÓɶȡ£¡£¡£¡£¡£¡£¡£¡£ÅÌËãÒªÁ죺
n′=£¨ÐÐÊý-1£©£¨ÁÐÊý-1£©£¬£¬£¬£¬ £¬£¬Ëĸñ±íÖÐΪÁ½ÐС¢Á½ÁУ¬£¬£¬£¬ £¬£¬¹Ê£º
n′=£¨2-1£©£¨2-1£©=1¡£¡£¡£¡£¡£¡£¡£¡£
²é¼òÃ÷χ2Öµ±í£¨±í3ª²4ª²4£¬£¬£¬£¬ £¬£¬»ò²éÓйØÊé¼®¿¨·½½çÖµ±í£©£ºµ±n′=1ʱ£¬£¬£¬£¬ £¬£¬χ20ª±05=6ª±63£¬£¬£¬£¬ £¬£¬±¾Àýχ2=7ª±47£¬£¬£¬£¬ £¬£¬´óÓÚ6ª±63£¬£¬£¬£¬ £¬£¬ÒÑÁè¼Ýχ20ª±05=6ª±63ˮƽ£¬£¬£¬£¬ £¬£¬µ«Ð¡ÓÚχ20ª±005=7ª±88ˮƽ£¬£¬£¬£¬ £¬£¬¹ÊP£¼0ª±01¡£¡£¡£¡£¡£¡£¡£¡£

£¨¶þ£©Ëĸñ±í×ÊÁϵÄχ2Ä¥Á·£¨Á½¸öÑù±¾ÂʵĽÏÁ¿£©
Ëĸñ±í×ÊÁϵÄχ2Ä¥Á··¨ÊÇÓ¦ÓÃ×îΪÆÕ±éºÍ×îΪÀû±ãµÄÒ»ÖÖÒªÁ죬£¬£¬£¬ £¬£¬ËüËùÄ¥Á·µÄ½öÊÇÁ½¸öÂʵĽÏÁ¿¡£¡£¡£¡£¡£¡£¡£¡£»£»£»£» £»£»£»ù±¾Ä£Ê½Í¼¡¢¹«Ê½ºÍЧ¹ûÅжϱê×¼ÈçÏ£º

4ª±ÅÌËã°ì·¨£º
£¨1£©ÏȽ«ÎÊÌâÖеÄÊý¾Ý°´Ëĸñ±íģʽͼÐÎÊ½ÖÆ±íÅÅÁУ¨ÓÃÏÖʵÊý×Ö£¬£¬£¬£¬ £¬£¬²»±Ø°Ù·ÖÂÊ£©¡£¡£¡£¡£¡£¡£¡£¡£
£¨2£©´úÈ빫ʽ(3ª²4ª²12)£¬£¬£¬£¬ £¬£¬ÅÌËãχ2Öµ£¬£¬£¬£¬ £¬£¬χ2ÖµÊÇͳ¼ÆÖµ£¬£¬£¬£¬ £¬£¬ÊýÖµÔ½´óͳ¼ÆÒâÒåÔ½´ó¡£¡£¡£¡£¡£¡£¡£¡£
£¨3£©Æ¾Ö¤χ2ÖµµÄ¾Þϸ£¡£¡£¡£¡£¡£¡£¡£¬£¬£¬£¬ £¬£¬°´PÖµÅжϱê׼ȷ¶¨PÖµ¾Þϸ¡£¡£¡£¡£¡£¡£¡£¡£
£¨4£©×ö³öͳ¼Æ½áÂÛ¡£¡£¡£¡£¡£¡£¡£¡£
ʾÀý3ª²4ª²6Óü׷¨ÖÎÁÆ´óÃæ»ýÉÕÉË£¨¼××飩71Àý£¬£¬£¬£¬ £¬£¬ÓÐ52Àý²¢·¢È«ÉíÐÔѬȾ£¬£¬£¬£¬ £¬£¬ÓÃÒÒ·¨ÖÎÁƵĴóÃæ»ýÉÕÉË£¨ÒÒ×飩42Àý£¬£¬£¬£¬ £¬£¬ÓÐ3Àý²¢·¢È«ÉíÐÔѬȾ¡£¡£¡£¡£¡£¡£¡£¡£ÎÊÁ½×éѬȾ±¬·¢ÂÊÓÐÎÞͳ¼ÆÑ§²î±ð£¿£¿£¿£¿£¿£¿£¿£¿
¡¾½âÌâ°ì·¨¡¿
1ª±°´Ëĸñ±íÄ£Ê½ÖØÐÂÖÆ±í£¨±í3ª²4ª²7£©£º

2ª±ÅÌËãχ2Öµ(¹«Ê½3ª²4ª²2)£º

3ª±ÅÌËã×ÔÓɶȣºÓÉÓÚ×ÔÓɶȣ¨n′£©=1{£¨ÐÐ-1£©£¨ÁÐ-1£©=£¨2-1£©£¨2-1£©}£¬£¬£¬£¬ £¬£¬¹Ê±¾Ñо¿×ÔÓɶÈΪ1£¨1×1£©¡£¡£¡£¡£¡£¡£¡£¡£
4ª±°´±í3ª²4ª²4±ê׼ȷ¶¨PÖµ£ºÒòχ2ÖµÔÚ3ª±84ºÍ6ª±63Ö®¼ä£¬£¬£¬£¬ £¬£¬¹ÊP£¼0ª±05£¬£¬£¬£¬ £¬£¬×é¼äÓÐÏÔÖøÐÔ²î±ð¡£¡£¡£¡£¡£¡£¡£¡£
5ª±Ð§¹ûÅжϣºÒòP£¼0ª±05£¬£¬£¬£¬ £¬£¬ËµÃ÷ÒÒ·¨ÖÎÁƵĴóÃæ»ýÉÕÉ˲¡È˲¢·¢È«ÉíÐÔѬȾµÄʱ»úµÍÓÚ¼××é¡£¡£¡£¡£¡£¡£¡£¡£
£¨Èý£©ÐÐ×Áбí×ÊÁϵÄχ2Ä¥Á·
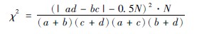
ÒÔÉϽ²µÄÊÇÁ½¸öÑù±¾ÂʵÄÄ¥Á·£¬£¬£¬£¬ £¬£¬ÓÃËĸñ±í·¨£¬£¬£¬£¬ £¬£¬µ«µ±ÐÐÊý»òÁÐÊý´óÓÚ2ʱ£¬£¬£¬£¬ £¬£¬Ó¦µ±ÓÃÐÐ×Áбí×ÊÁϵÄχ2Ä¥Á·£¬£¬£¬£¬ £¬£¬ÓÖ³ÆR×C±í×ÊÁÏ¡£¡£¡£¡£¡£¡£¡£¡£»£»£»£» £»£»£»ù±¾¹«Ê½£º

AΪ¸÷¸ñ×ÓµÄÏÖʵƵÊý£¬£¬£¬£¬ £¬£¬nR¡¢nCΪ¸÷ÏÖʵƵÊýËù¶ÔÓ¦µÄÐеĺϼÆÊýºÍÁеĺϼÆÊý£¬£¬£¬£¬ £¬£¬NΪ×ܺϼÆÊý¡£¡£¡£¡£¡£¡£¡£¡£
¸Ã¹«Ê½ÊÇÓÉ»ù±¾¹«Ê½×ª»»¶øÀ´£¬£¬£¬£¬ £¬£¬²»ÐèÒªÇóÀíÂÛÆµÊý£¬£¬£¬£¬ £¬£¬Àû±ãÊÊÓᣡ£¡£¡£¡£¡£¡£¡£
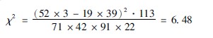
ʾÀý3ª²3ª²7¼×ÒÒ±ûÈýËùҽԺͬÆÚ¶Ôijҩ¾ÙÐп¹Ñ¬È¾ÁÆÐ§ÊӲ죬£¬£¬£¬ £¬£¬¼×ÔºÊÓ²ìÁË29Àý£¬£¬£¬£¬ £¬£¬ÓÐÓã¨23Àý£©ÂÊΪ79ª±3%£¬£¬£¬£¬ £¬£¬ÒÒÔºÊÓ²ìÁË44Àý£¬£¬£¬£¬ £¬£¬ÓÐÓÃ(14Àý)ÂÊΪ31ª±8%£¬£¬£¬£¬ £¬£¬±ûÒ½ÔºÊÓ²ìÁË11Àý£¬£¬£¬£¬ £¬£¬ÓÐÓã¨3Àý£©ÂÊΪ27ª±3%£¨×ÊÁϼû±í3ª²4ª²8£©¡£¡£¡£¡£¡£¡£¡£¡£ÎÊ3ËùÒ½Ôº¿¹Ñ¬È¾ÖÎÁƵÄ×ÜÌåÓÐÓÃÂÊÊÇ·ñÓÐÏÔÖøÒâÒ壿£¿£¿£¿£¿£¿£¿£¿

¡¾½âÌâ°ì·¨¡¿
1ª±½¨ÉèÄ¥Á·¼ÙÉ裺H0£º3ËùÒ½ÔºµÄÓÐÓÃÂÊÏàµÈ£¬£¬£¬£¬ £¬£¬π1=π2£»£»£»£» £»£»£»H1£º3ËùÒ½ÔºµÄÓÐÓÃÂʲ»ÏàµÈ£¬£¬£¬£¬ £¬£¬H1£ºπ1≠π2¡£¡£¡£¡£¡£¡£¡£¡£
2ª±È·¶¨ÏÔÖøÐÔˮƽ£ºα£½0ª±05¡£¡£¡£¡£¡£¡£¡£¡£
3ª±Æ¾Ö¤χ2»ù±¾ÅÌË㹫ʽ£¨3ª²4ª²13£©ÅÌËãχ2Öµ£º

4ª±È·¶¨×ÔÓɶȣ¨n′£©=£¨2-1£©£¨3-1£©= 2¡£¡£¡£¡£¡£¡£¡£¡£
5ª±²éχ2Öµ±íÈ·¶¨PÖµ£º²é±í3ª²4ª²4¿ÉÖª£¬£¬£¬£¬ £¬£¬χ20ª±05£¨2£©=10ª±60£¬£¬£¬£¬ £¬£¬½ñχ2=17ª±907£¬£¬£¬£¬ £¬£¬£¾χ20ª±005(2)£¬£¬£¬£¬ £¬£¬¹ÊP£¼0ª±005¡£¡£¡£¡£¡£¡£¡£¡£
6ª±ÍƶϽáÂÛ£ºÔÚα=0ª±05Ë®×¼ÉÏ£¬£¬£¬£¬ £¬£¬¾Ü¾øH0£¬£¬£¬£¬ £¬£¬ÎüÊÕH1£¬£¬£¬£¬ £¬£¬¹Ê¸ÃÒ©ÔÚÈýËùÒ½ÔºµÄ¿¹Ñ¬È¾Ð§¹û±£´æÍ³¼ÆÑ§²î±ð£¨P£¼0ª±005£©¡£¡£¡£¡£¡£¡£¡£¡£
£¨ËÄ£© ¶þÁжà¸ñ×ÊÁÏχ2ֵĥÁ·
¶þÁжà¸ñ×ÊÁÏχ2ֵĥÁ·Ò²³Æ¶à¸öÑù±¾ÂʵĽÏÁ¿£¬£¬£¬£¬ £¬£¬ÆäÄ¿µÄÊÇÍÆ¶ÏËüÃÇËù´ú±íµÄ×ÜÌåÂÊÊÇ·ñÏàµÈ¡£¡£¡£¡£¡£¡£¡£¡£¸ÃÀà×ÊÁϵĻù±¾Êý¾ÝÓÐRÐУ¨Ñù±¾¸öÊý£©£¬£¬£¬£¬ £¬£¬2ÁУ¨Ö¸Ñù±¾µÄÑôÐÔÊýÓëÒõÐÔÊý£©£¬£¬£¬£¬ £¬£¬ÒÔÊÇÓÖ½ÐR×2ÁÐÁª±í»òÁÐÁª±í(contingency table)¡£¡£¡£¡£¡£¡£¡£¡£
¹«Ê½Í¬»ù±¾¹«Ê½£¨3ª²4ª²13£©£¬£¬£¬£¬ £¬£¬ÅÌËã³öµÄ×ÊÁÏ¿ÉÒÔ¾ÙÐÐÏà¹ØÆÊÎö¡£¡£¡£¡£¡£¡£¡£¡£
ʾÀý3ª²4ª²8£¨°Ù·Ö±ÈÏ໥½ÏÁ¿£©£ºÄ³Ò½ÔºÊÓ²ìÑÏÖØÉÕÉ˲¡ÈËÔçÆÚÑÓ³ÙÖÎÁƶÔÐݿ˱¬·¢ÂÊÓÐÎÞÓ°Ï죬£¬£¬£¬ £¬£¬ÊÓ²ìʱ¼ä»®·ÖΪÉ˺ó´óÓÚ18Сʱ£¨¼××飩¡¢É˺ó6¡«18Сʱ£¨ÒÒ×飩ºÍ6СʱÒÔÄÚ£¨±û×飩3¸ö½ÓÊÜÖÎÁÆÐ¡×飬£¬£¬£¬ £¬£¬Ð§¹û»ãÓÚ±í3ª²4ª²9ÖС£¡£¡£¡£¡£¡£¡£¡£ÎÊÑÓ³ÙÖÎÁƶÔÉÕÉËÐݿ˵ı¬·¢ÂÊÓÐÎÞͳ¼ÆÑ§²î±ð£¬£¬£¬£¬ £¬£¬»òÏ໥֮¼äÓÐÎÞ¹ØÁª£¿£¿£¿£¿£¿£¿£¿£¿

¡¾½âÌâ°ì·¨¡¿
1ª±½¨ÉèÄ¥Á·¼ÙÉ裺ÉèH0£ºÈýÖÖ²î±ðÖÎÁÆÊ±¼äÐݿ˱¬·¢ÂÊÏàµÈ£»£»£»£» £»£»£»ÉèH0£ºπ1=π2£»£»£»£» £»£»£»ÈýÖÖ²î±ðÖÎÁÆÊ±¼äÐݿ˱¬·¢Âʲ»ÍêÈ«ÏàµÈ£¬£¬£¬£¬ £¬£¬H1£ºπ1≠π2¡£¡£¡£¡£¡£¡£¡£¡£
2ª±È·¶¨ÏÔÖøÐÔˮƽ£ºα=0ª±05¡£¡£¡£¡£¡£¡£¡£¡£
3ª±ÅÌËãχ2Öµ£º½«±í3ª²4ª²9ÖеÄÊý×Ö´úÈ빫ʽ3ª²4ª²13£¬£¬£¬£¬ £¬£¬µÃ£º

4ª±ÅÌËã×ÔÓɶȣº£¨n′£©=£¨2-1£©£¨3-1£©= 2¡£¡£¡£¡£¡£¡£¡£¡£
5ª±È·¶¨PÖµ£ºÒòn′=2£¬£¬£¬£¬ £¬£¬²éχ2Öµ±í£¨3ª²4ª²4£©£¬£¬£¬£¬ £¬£¬χ20ª±005£¨2£©=10ª±60£¬£¬£¬£¬ £¬£¬±¾Ñо¿χ2£½24ª±776£¾χ20ª±005£¨2£©£¨10ª±60£©Ë®Æ½£¬£¬£¬£¬ £¬£¬P£¼0ª±005¡£¡£¡£¡£¡£¡£¡£¡£
6ª±ÍƶÏЧ¹û£ºÔÚα=0ª±05Ë®×¼ÉÏ£¬£¬£¬£¬ £¬£¬¾Ü¾øH0£¬£¬£¬£¬ £¬£¬½ÓÊÜH1£¬£¬£¬£¬ £¬£¬ÒòP£¼0ª±005£¬£¬£¬£¬ £¬£¬²î±ðÓи߶ÈÏÔÖøÐÔ£¬£¬£¬£¬ £¬£¬¹ÊÒÔΪÑÏÖØÉÕÉ˲¡ÈËÔçÆÚ½ÓÊÜÖÎÁƶÔÐݿ˱¬·¢ÂÊÓÐÏÔ×ÅÓ°Ïì×÷Ó㬣¬£¬£¬ £¬£¬¼´¿É½µµÍÐݿ˱¬·¢ÂÊ¡£¡£¡£¡£¡£¡£¡£¡£
7ª±ÎªÁ˽øÒ»²½ËµÃ÷ËüÃÇÖ®¼äµÄÇ×½ü¹ØÁªË®Æ½£¬£¬£¬£¬ £¬£¬¿Éƾ֤¹«Ê½ÅÌËã¹ØÁªÏµÊý£º

ƾ֤Ëĸñ±íµÄpearsonÁÐÁªÏµÊýÖµrÔÚ0¡«1Ö®¼ä¡£¡£¡£¡£¡£¡£¡£¡£rÖµÓú¿¿½ü0£¬£¬£¬£¬ £¬£¬ËµÃ÷Á½¸ö·ÖÀà±äÁ¿µÄ¹ØÏµÓúÈõ£¬£¬£¬£¬ £¬£¬rÖµÓú¿¿½ü1£¬£¬£¬£¬ £¬£¬ËµÃ÷¹ØÏµÓúÇ×½ü¡£¡£¡£¡£¡£¡£¡£¡£ÓÉÓÚr=0ª±462£¬£¬£¬£¬ £¬£¬ËµÃ÷ÑÓ³ÙÖÎÁÆÊ±¼äÓëÐݿ˱¬·¢ÂʾßÓÐÒ»¶¨µÄ¹ØÁªÐÔ¡£¡£¡£¡£¡£¡£¡£¡£
ʾÀý3ª²4ª²9£¨Ñù±¾½á¹¹±ÈÏ໥½ÏÁ¿£©£ºÄ³Ôº2004ÄêÊÕÖÎС¶ùÉÕÉË145Àý£¬£¬£¬£¬ £¬£¬ÖÂÉËÒòËØ£ºÈÈÒº150Àý£¬£¬£¬£¬ £¬£¬»ðÑæ10Àý£¬£¬£¬£¬ £¬£¬µçÁ÷7Àý£¬£¬£¬£¬ £¬£¬ÆäËû23Àý£»£»£»£» £»£»£»³ÉÈËÉÕÉË188ÈË£¬£¬£¬£¬ £¬£¬ÖÂÉËÒòËØ£ºÈÈÒº50Àý£¬£¬£¬£¬ £¬£¬»ðÑæ48Àý£¬£¬£¬£¬ £¬£¬µçÁ÷18Àý£¬£¬£¬£¬ £¬£¬ÆäËû72Àý£¨×ÊÁϼû±í3ª²4ª²10£©£¬£¬£¬£¬ £¬£¬ÎÊС¶ùÉÕÉËÔµ¹ÊÔ­ÓÉÓë³ÉÈËÉÕÉËÔµ¹ÊÔ­ÓÉÏ໥֮¼äÊÇ·ñÓйØÁªÐÔ£¿£¿£¿£¿£¿£¿£¿£¿

¡¾½âÌâ°ì·¨¡¿
1ª±½¨ÉèÄ¥Á·¼ÙÉèºÍÈ·¶¨ÏÔÖøÐÔˮƽ£º¢ÙÉèH0£ºÁ½×鲡ÈËÉËÒò×é³ÉÏàµÈ£¬£¬£¬£¬ £¬£¬H0£ºπ1=π2£»£»£»£» £»£»£»¢ÚÉèH1£ºÁ½×鲡ÈËÉËÒò×é³É²»ÍêÈ«ÏàµÈ£¬£¬£¬£¬ £¬£¬H1£ºπ1≠π2¡£¡£¡£¡£¡£¡£¡£¡£
2ª±ÏÔÖøË®Æ½£ºα=0ª±05¡£¡£¡£¡£¡£¡£¡£¡£
3ª±ÅÌËãχ2Öµ£º¿É½«±í3ª²4ª²10ÖеÄÊý×Ö´úÈ빫ʽ£¨3ª²4ª²13£©£¬£¬£¬£¬ £¬£¬µÃ£º

4ª±ÅÌËã×ÔÓɶȣº£¨n′£©=£¨2-1£©£¨4-1£©= 3¡£¡£¡£¡£¡£¡£¡£¡£
5ª±È·¶¨PÖµ£ºn′=3£¬£¬£¬£¬ £¬£¬²éχ2Öµ±í£¨3ª²4ª²4£©£¬£¬£¬£¬ £¬£¬χ20ª±005£¨3£©=12ª±84£¬£¬£¬£¬ £¬£¬½ñχ2=70ª±14£¬£¬£¬£¬ £¬£¬¹ÊP£¼0ª±005¡£¡£¡£¡£¡£¡£¡£¡£
6ª±ÍƶÏЧ¹û£ºÔÚα=0ª±05Ë®×¼ÉÏ£¬£¬£¬£¬ £¬£¬¾Ü¾øH0£¬£¬£¬£¬ £¬£¬½ÓÊÜH1£¬£¬£¬£¬ £¬£¬ÒòP£¼0ª±005£¬£¬£¬£¬ £¬£¬²î±ðÓкÜÊÇÏÔÖøÒâÒ壬£¬£¬£¬ £¬£¬¹ÊÒÔΪС¶ùÉÕÉ˲¡È˵ÄÖÂÉËÒòËØ×é³É±ÈÓë³ÉÈ˲î±ð£¬£¬£¬£¬ £¬£¬ËµÃ÷С¶ùÒÔÈÈÒºÌÌÉ˶à¼û£¬£¬£¬£¬ £¬£¬ÆäËûÉËÒò×é³É±ÈµÍÓÚ³ÉÈË×é¡£¡£¡£¡£¡£¡£¡£¡£
7ª±ÎªÁ˽øÒ»²½ËµÃ÷ËüÃÇÖ®¼äµÄÇ×½ü¹ØÁªË®Æ½£¬£¬£¬£¬ £¬£¬¿Éƾ֤¹«Ê½3ª²4ª²14ÅÌËã¹ØÁªÏµÊý£º

ÓÉÓÚr=0ª±417£¬£¬£¬£¬ £¬£¬ËµÃ÷¶ùͯÉÕÉËÉËÒòÓë³ÉÄêÈËÉÕÉËÉËÒòÖ®¼ä¾ßÓÐÒ»¶¨µÄ¹ØÁªÐÔ¡£¡£¡£¡£¡£¡£¡£¡£ÓÉÓÚ¶ùͯÈÈÒºÌÌÉ˱¬·¢ÂÊΪ72ª±4%£¬£¬£¬£¬ £¬£¬³ÉÈËÈÈÒºÌÌÉ˱¬·¢ÂÊΪ26ª±6%£¬£¬£¬£¬ £¬£¬Á½ÕßÊÇ·ñ±£´æÏÔÖøÐÔ²î±ð£¬£¬£¬£¬ £¬£¬ÐèÒª¾ÙÐÐÁ½Á½½ÏÁ¿·½¿ÉÃ÷È·¡£¡£¡£¡£¡£¡£¡£¡£
£¨Î壩 ¶àÁжà¸ñ×ÊÁÏχ2ֵĥÁ·
ÁÙ´²¾­³£Óöµ½3×é»ò3×éÒÔÉϵĶà¸ñ×ÊÁÏ£¬£¬£¬£¬ £¬£¬ÆäÅÌËãÒªÁìÈÔÒÔ¹«Ê½£¨3ª²4ª²13£©Îª»ù´¡ ¡£¡£¡£¡£¡£¡£¡£¡£ÏÖ¾ÙÀý˵Ã÷£º
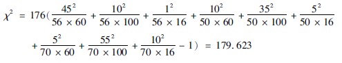
ʾÀý3ª²4ª²10£¨¼ÆÊý×ÊÁÏÏà¹ØÆÊÎö£©£ºÄ³ÉÕÉËÖÐÐÄÊÓ²ìÁË176ÀýÎüÈëÐÔËðÉ˲¡È˵IJî±ðÉËÇéÓëºôÎüÄÑÌâµÄ¸÷×ÔÀýÊý£¬£¬£¬£¬ £¬£¬ÎʺôÎüÄÑÌâˮƽÓëÎüÈëËðÉËÉËÇéÖ®¼äÓÐÎÞ¹ØÁªÐÔ£¨Êý¾Ý×ÊÁÏ»ãÓÚ±í3ª²4ª²11ÖУ©£¿£¿£¿£¿£¿£¿£¿£¿

¡¾½âÌâ°ì·¨¡¿
±¾ÀýµÄÉè¼ÆºÍÆÊÎöÄ¿µÄÓëÉÏÊöÀý×Ó²î±ð¡£¡£¡£¡£¡£¡£¡£¡£Ëü²¢·ÇÊÇÁ½¸öÑù±¾ÂÊÓë×ÜÌåÂÊ¡¢¶à¸öÑù±¾ÂÊÓë×ÜÌåÂÊ»ò×é³É±ÈÖ®¼äµÄ½ÏÁ¿£¬£¬£¬£¬ £¬£¬¶øÊǼòµ¥Ñù±¾×ÔÉíµÄ½ÏÁ¿£¬£¬£¬£¬ £¬£¬Ã¿¸ö¹¤¾ß»®·Ö°´Á½ÖÖ±ê¼Ç·Ö¼¶£¨ÉËÇéÓëºôÎüÄÑÌ⣩£¬£¬£¬£¬ £¬£¬ÊôÓÚË«ÏàÂʵÄÅÌË㣬£¬£¬£¬ £¬£¬Ä¿µÄÊÇÍÆ²âÁ½ÖÖ±ê¼ÇÖ®¼äÓÐÎÞÏà¹ØÐÔ¡£¡£¡£¡£¡£¡£¡£¡£
1ª±½¨ÉèÄ¥Á·¼ÙÉ裺¢ÙÉèH0£ººôÎüÄÑÌâˮƽÓëÎüÈëÐÔËðÉËˮƽÎ޹أ»£»£»£» £»£»£»¢ÚÉèH1£ººôÎüÄÑÌâˮƽÓëÎüÈëÐÔËðÉËˮƽÓйء£¡£¡£¡£¡£¡£¡£¡£
2ª±È·¶¨ÏÔÖøË®×¼£ºα=0ª±05¡£¡£¡£¡£¡£¡£¡£¡£
3ª±ÅÌËãχ2Öµ£º½«±í3ª²4ª²11ÖеÄÊý×Ö´úÈ빫ʽ3ª²4ª²13£¬£¬£¬£¬ £¬£¬µÃ£º

4ª±ÅÌËã×ÔÓɶȣº£¨n′£©=£¨3-1£©£¨3-1£©= 4¡£¡£¡£¡£¡£¡£¡£¡£
5ª±È·¶¨PÖµ£ºn′=4£¬£¬£¬£¬ £¬£¬²éχ2½çÖµ±í£¨3ª²24£©£¬£¬£¬£¬ £¬£¬χ20ª±005(4)=14ª±86£¬£¬£¬£¬ £¬£¬±¾Ñо¿χ2=179ª±623£¬£¬£¬£¬ £¬£¬£¾χ20ª±005(4)£¨14ª±86£©Ë®×¼£¬£¬£¬£¬ £¬£¬P£¼0ª±005¡£¡£¡£¡£¡£¡£¡£¡£
6ª±ÍƶÏЧ¹û£ºÔÚα=0ª±05Ë®×¼ÉÏ£¬£¬£¬£¬ £¬£¬¾Ü¾øH0£¬£¬£¬£¬ £¬£¬½ÓÊÜH1£¬£¬£¬£¬ £¬£¬ÒòP£¼0ª±005£¬£¬£¬£¬ £¬£¬²î±ðÓи߶ÈÏÔÖøÐÔ£¬£¬£¬£¬ £¬£¬¹ÊÒÔΪºôÎüÄÑÌâˮƽÓëÎüÈëÐÔËðÉËˮƽ¹ØÁªÇ×½ü¡£¡£¡£¡£¡£¡£¡£¡£
7ª±ÎªÁ˽øÒ»²½ËµÃ÷ËüÃÇÖ®¼äµÄÇ×½ü¹ØÁªË®Æ½£¬£¬£¬£¬ £¬£¬¿Éƾ֤¹«Ê½£¨3ª²4ª²14£©ÅÌËã¹ØÁªÏµÊý£º

ÓÉÓÚr=0ª±7316£¬£¬£¬£¬ £¬£¬ËµÃ÷ºôÎüÄÑÌâˮƽÓëÎüÈëËðˮƽ¾ßÓÐÏÔ×ŵĹØÁªÐÔ£¬£¬£¬£¬ £¬£¬¼´ÎüÈëËðÉËÔ½ÖØ£¬£¬£¬£¬ £¬£¬ºôÎüÄÑÌâÔ½ÑÏÖØ¡£¡£¡£¡£¡£¡£¡£¡£
£¨Áù£© Åä¶Ô¼ÆÊý×ÊÁϵÄχ2Ä¥Á·

¼ÆÊý×ÊÁϵÄÅä¶ÔÉè¼Æ³£ÓÃÓÚÁ½ÖÖÄ¥Á·ÒªÁ죬£¬£¬£¬ £¬£¬Èç×÷ÓýÒªÁì¡¢Õï¶ÏÒªÁìµÄ½ÏÁ¿¡£¡£¡£¡£¡£¡£¡£¡£ÆäÌØµãÊǶÔÑù±¾Öеĸ÷ÊӲ쵥λ»®·ÖÓÃÁ½ÖÖÒªÁì´¦Öóͷ££¬£¬£¬£¬ £¬£¬È»ºóÊÓ²ìÁ½ÖÖÒªÁìµÄЧ¹û¡£¡£¡£¡£¡£¡£¡£¡£´ËÀà×ÊÁÏ¿ÉÓÃÅä¶Ôχ2Ä¥Á·£¬£¬£¬£¬ £¬£¬½ÏÁ¿Á½¸öÂÊÖ®¼äÊÇ·ñÓвî±ð¡£¡£¡£¡£¡£¡£¡£¡£´ÓÅä¶ÔÉè¼ÆÀ´Ëµ£¬£¬£¬£¬ £¬£¬Åä¶Ô¼ÆÊý×ÊÁÏÓëǰ±ßËùÏÈÈݵÄÅä¶Ô¼ÆÊý×ÊÁÏÊÇÏàͬµÄ£¬£¬£¬£¬ £¬£¬¶¼ÊǰÑÁ½ÖÖ´¦Öóͷ£ÒòËØ»®·ÖÊ©¼ÓÓÚÌõ¼þÏàËÆµÄÊÜÊÔ¹¤¾ßÉÏ£¬£¬£¬£¬ £¬£¬»òÏȺóÊ©ÓÚͳһ¹¤¾ßÉÏ¡£¡£¡£¡£¡£¡£¡£¡£Åä¶Ô¼Í¼ÊÔÑéЧ¹ûÈçΪ¼ÆÁ¿×ÊÁÏ£¬£¬£¬£¬ £¬£¬¼´Êô¼ÆÁ¿Åä¶Ô×ÊÁÏ£»£»£»£» £»£»£»ÈôЧ¹ûΪ¼ÆÊý×ÊÁÏ£¬£¬£¬£¬ £¬£¬¼´ÊôÓÚ¼ÆÊýÅä¶Ô×ÊÁÏ¡£¡£¡£¡£¡£¡£¡£¡£Åä¶Ô¼ÆÊý×ÊÁϵÄχ2Ä¥Á·°üÀ¨Á½¸öÄÚÈÝ£º¢ÙÆÊÎöËüÃǵÄÏà¹Ø¹ØÏµ£»£»£»£» £»£»£»¢ÚÆÊÎö´¦Öóͷ£Ð§¹ûÓÐÎÞ²î±ð¡£¡£¡£¡£¡£¡£¡£¡£
ʾÀý3ª²4ª²11£º100¸öÉî¢ò¶ÈÉÕÉË´´Ã棬£¬£¬£¬ £¬£¬Ã¿¸ö´´Ãæ»®·ÖÓÃÁ½ÖÖÒªÁ죨¼×·¨ÓëÒÒ·¨£©Õï¶Ï¡£¡£¡£¡£¡£¡£¡£¡£Ð§¹û£º¼×·¨ÑôÐÔÕßΪ67¸ö£¬£¬£¬£¬ £¬£¬ÒÒ·¨ÑôÐÔÕß50¸ö£»£»£»£» £»£»£»ÆäÖм×ÒÒÁ½·¨¾ùÑôÐÔÕߣ¨a£©39¸ö£¬£¬£¬£¬ £¬£¬¼×ÒÒÁ½·¨¾ùÒõÐÔÕߣ¨d£©22¸ö£¬£¬£¬£¬ £¬£¬¼×·¨ÑôÐÔÒÒ·¨ÒõÐÔÕߣ¨d£©28¸ö£¬£¬£¬£¬ £¬£¬ÒÒ·¨ÑôÐÔ¼×·¨ÒõÐÔÕߣ¨c£©11¸ö£¨×ÊÁϼû±í3ª²4ª²12£©¡£¡£¡£¡£¡£¡£¡£¡£Îʼ×ÒÒÁ½ÖÖÒªÁìµÄÕï¶ÏЧ¹ûÓÐÎÞ¹ØÁª¼°Í³¼ÆÑ§²î±ð£¿£¿£¿£¿£¿£¿£¿£¿
¡¾½âÌâ°ì·¨¡¿
µÚÒ»²½£ºÆÊÎöÁ½ÖÖÕï¶ÏЧ¹ûÓÐÎÞÏà¹Ø¹ØÏµ£¬£¬£¬£¬ £¬£¬Ã¿¸ö¹¤¾ß°´Á½ÖÖ´¦Öóͷ£½á¹¹·Ö×飬£¬£¬£¬ £¬£¬¹Ê¿ÉÓÃËĸñχ2Ä¥Á·¹«Ê½ÅÌË㣬£¬£¬£¬ £¬£¬ÍƶÏÁ½ÖÖÕï¶ÏÒªÁìÖ®¼äÓÐÎÞÏà¹Ø¹ØÏµ£º
1ª±½¨ÉèÄ¥Á·¼ÙÉ裺¢ÙÉèH0£º¼×ÒÒÕï¶ÏÒªÁìÖ®¼äÎ޹أ»£»£»£» £»£»£»¢ÚÉèH1£º¼×ÒÒÕï¶ÏÒªÁìÖ®¼äÓйء£¡£¡£¡£¡£¡£¡£¡£
2ª±È·¶¨ÏÔÖøË®×¼£ºα=0ª±05¡£¡£¡£¡£¡£¡£¡£¡£

3ª±ÅÌËãχ2Öµ£º½«±í3ª²4ª²12ÖеÄÊý×Ö´úÈ빫ʽ3ª²4ª²12£¬£¬£¬£¬ £¬£¬µÃ£º

4ª±ÅÌËã×ÔÓɶȣº£¨n′£©=£¨2-1£©£¨2-1£©=1¡£¡£¡£¡£¡£¡£¡£¡£
5ª±È·¶¨PÖµ£ºn′=1£¬£¬£¬£¬ £¬£¬²éχ2Öµ±í£¨3ª²4ª²4£©£¬£¬£¬£¬ £¬£¬χ20ª±05=3ª±841£¬£¬£¬£¬ £¬£¬χ20ª±01=6ª±635£¬£¬£¬£¬ £¬£¬±¾Ñо¿6ª±ÍƶÏЧ¹û£ºÔÚα=0ª±05Ë®×¼ÉÏ£¬£¬£¬£¬ £¬£¬¾Ü¾øH0£¬£¬£¬£¬ £¬£¬½ÓÊÜH1£¬£¬£¬£¬ £¬£¬ÒòP£¼0ª±05£¬£¬£¬£¬ £¬£¬²î±ðÓÐÏÔÖøÐÔ£¬£¬£¬£¬ £¬£¬¹ÊÒÔΪÁ½ÖÖÕï¶Ïˮƽ¹ØÁªÇ×½ü¡£¡£¡£¡£¡£¡£¡£¡£
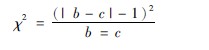
µÚ¶þ²½£ºÅÌËãÁ½ÖÖ´¦Öóͷ£Ð§¹ûÓÐÎÞ²î±ð£ºÅÌË㹫ʽΪ£¨3ª²4ª²15£©£º

1ª±½¨ÉèÄ¥Á·¼ÙÉ裺¢ÙÉèH0£ºÁ½×ÜÌåb=c£»£»£»£» £»£»£»¢ÚH1£ºÁ½×ÜÌåb≠c¡£¡£¡£¡£¡£¡£¡£¡£
2ª±È·¶¨ÏÔÖøË®×¼£ºα=0ª±05
3ª±ÅÌËãχ2Öµ£º½«±í3ª²4ª²12ÖеÄÊý×Ö´úÈ빫ʽ3ª²4ª²15£¬£¬£¬£¬ £¬£¬µÃ£º

4ª±×ÔÓɶȣºn′=1¡£¡£¡£¡£¡£¡£¡£¡£
5ª±È·¶¨PÖµ£ºn′=1£¬£¬£¬£¬ £¬£¬²éχ2Öµ±í£¨3ª²4ª²4£©£¬£¬£¬£¬ £¬£¬χ20ª±05=3ª±841£¬£¬£¬£¬ £¬£¬χ20ª±01=6ª±635£¬£¬£¬£¬ £¬£¬±¾Ñо¿χ2=6ª±564£¬£¬£¬£¬ £¬£¬½éÓÚχ20ª±005ºÍχ20ª±01Ë®×¼Ö®¼ä£¬£¬£¬£¬ £¬£¬¹ÊP£¼0ª±05¡£¡£¡£¡£¡£¡£¡£¡£
6ª±ÍƶÏЧ¹û£ºÔÚα=0ª±05Ë®×¼ÉÏ£¬£¬£¬£¬ £¬£¬¾Ü¾øH0£¬£¬£¬£¬ £¬£¬½ÓÊÜH1£¬£¬£¬£¬ £¬£¬ÒòP£¼0ª±05£¬£¬£¬£¬ £¬£¬²î±ðÓÐÏÔÖøÐÔ£¬£¬£¬£¬ £¬£¬¹ÊÒÔΪ¼×ÒÒÁ½ÖÖÕï¶ÏÒªÁì¼òÖ±ÕïÂʲî±ð£¬£¬£¬£¬ £¬£¬¼×·¨¼òÖ±ÕïÂʸßÓÚÒÒ·¨¡£¡£¡£¡£¡£¡£¡£¡£
7ª±¹ØÁªÐÔÆÊÎö£ºÆ¾Ö¤¹«Ê½3ª²4ª²14ÅÌËã¹ØÁªÏµÊý£º

ÓÉÓÚr=0ª±629£¬£¬£¬£¬ £¬£¬ËµÃ÷¼×ÒÒÁ½ÖÖÒªÁìµÄÕï¶ÏЧ¹û¹ØÁªÐÔ½ÏÇ¿£¬£¬£¬£¬ £¬£¬¼×·¨ÓÅÓÚÒÒ·¨¡£¡£¡£¡£¡£¡£¡£¡£
£¨Æß£©Á½¸öСÑù±¾µÄχ2Ä¥Á·ÒªÁì
ÓÉÓÚχ2Ä¥Á·ÊÇÒÔÒ»Ìõƽ»¬ÇúÏßΪ»ù´¡£¡£¡£¡£¡£¡£¡£¡£¬£¬£¬£¬ £¬£¬´óÑù±¾ËùµÃµÄ¸ÅÂÊÓëÆäÕæÕý¸ÅÂʺܿ¿½ü¡£¡£¡£¡£¡£¡£¡£¡£µ±ÎªÐ¡Ñù±¾Ê±£¬£¬£¬£¬ £¬£¬Èçn£¼40£¨ÓÐÈËÒÔΪn£¼50£©Ê±£¬£¬£¬£¬ £¬£¬ÓÃǰ±ß½²µÄ´óÑù±¾½ÏÁ¿µÄuÄ¥Á·»òχ2Ä¥Á·¹«Ê½ÅÌËãЧ¹û¶¼½û¾øÈ·£¬£¬£¬£¬ £¬£¬»òÆ«Òнϴ󣬣¬£¬£¬ £¬£¬ÐèÒª½ÓÄÉСÑù±¾Ð£Õý¹«Ê½ÅÌËã¡£¡£¡£¡£¡£¡£¡£¡£Á½¸öСÑù±¾µÄÄ¥Á·ÒªÁìÓÐÁ½ÖÖ£ºÒ»ÖÖÊÇÑù±¾£¨n£©Æ«Ð¡£¡£¡£¡£¡£¡£¡£¡£»£»£»£» £»£»£»Ò»ÖÖÊÇËĸñ±íÖÐÓÐÀíÂÛÆµÊýÖзºÆð0»ò1ʱ¡£¡£¡£¡£¡£¡£¡£¡£ÏÖ¾ÙÀý˵Ã÷£º

1ª±Ð¡Ñù±¾Ð£Õý¹«Ê½£¨3ª²4ª²16£©£º

ʾÀý3ª²3ª²12£ºÓü×ÒÒÁ½ÖÖÒ©ÎïÖÎÁÆÌÇÄò²¡»µ¾Ò´´Ãæ¸÷30¸ö£¬£¬£¬£¬ £¬£¬¼×Ò©×éñ£ºÛ±¬·¢ÂÊΪ70%£¬£¬£¬£¬ £¬£¬ÒÒÒ©×éñ°ºÛ±¬·¢ÂÊΪ50%¡£¡£¡£¡£¡£¡£¡£¡£ÎÊÁ½×éÖ®¼äµÄÁÆÐ§ÓÐÎÞͳ¼ÆÑ§²î±ð£¿£¿£¿£¿£¿£¿£¿£¿
¡¾½âÌâ°ì·¨¡¿
£¨1£©Æ¾Ö¤ÌâÖÐÊý¾ÝÁбí3ª²4ª²13£º

£¨2£©½«±í3ª²4ª²13ÖÐÊý×Ö´úÈ빫ʽ(3ª²4ª²16)£¬£¬£¬£¬ £¬£¬µÃ£º

£¨3£©Ð§¹ûÅжϣºÒòn′=1£¬£¬£¬£¬ £¬£¬χ2Öµ=7ª±050£¼χ20ª±01£¨6ª±635£©£¬£¬£¬£¬ £¬£¬¹ÊP£¼0ª±01¡£¡£¡£¡£¡£¡£¡£¡£×é¼äÓкÜÊÇÏÔÖø²î±ð¡£¡£¡£¡£¡£¡£¡£¡£
£¨4£©½áÂÛ£º¼×Ò©ÖÎÁƵĴ´Ãæñ£ºÛ±¬·¢ÂʵÍÓÚÒÒÒ©ÖÎÁÆ×é¡£¡£¡£¡£¡£¡£¡£¡£
СÑù±¾ÂʵÄχ2¹«Ê½ÅÌËãЧ¹ûÓÅÓÚ´óÑù±¾ÂʵÄχ2¹«Ê½£¬£¬£¬£¬ £¬£¬ÓÈÆäÔÚÆäËûÄ¥Á·¹«Ê½ËùµÃ¸ÅÂÊ¿¿½üÄ¥Á·Ë®×¼Ê±£¬£¬£¬£¬ £¬£¬ÒËÓÃСÑù±¾ÂʵÄχ2¹«Ê½¡£¡£¡£¡£¡£¡£¡£¡£ÏÖÔÚÐí¶àͳ¼ÆÑ§ÕßÒÔΪ£º¢ÙСÑù±¾ÂʵÄχ2¹«Ê½Îó²î×îС£¡£¡£¡£¡£¡£¡£¡£¬£¬£¬£¬ £¬£¬×îΪ³£Ó㻣»£»£» £»£»£»¢ÚÒÑÍùÓÐÒ»ÖÖÎó½â£¬£¬£¬£¬ £¬£¬Ö»Óе±ÀýÊýСÓÚ30ʱ£¬£¬£¬£¬ £¬£¬»òÀíÂÛÆµÊýСÓÚ5ʱ£¬£¬£¬£¬ £¬£¬χ2Ô­¹«Ê½ÅÌËãÖµÖÐÓÐÎó²î£¬£¬£¬£¬ £¬£¬²»È»²»±Ø¾ÙÐÐУÕý¡£¡£¡£¡£¡£¡£¡£¡£Êµ¼ù֤ʵ£¬£¬£¬£¬ £¬£¬Ö»ÒªÊÇÅжÏP=0ª±05»òP=0ª±01µÄÏÔÖøÄ¥Á·£¬£¬£¬£¬ £¬£¬ÓÃУÕý¹«Ê½Ò»¶¨ÓÅÓÚ»ù±¾¹«Ê½£¬£¬£¬£¬ £¬£¬×ÝÈ»ÀýÊý´óÓÚ30£¬£¬£¬£¬ £¬£¬»òÀíÂÛÆµÊý´óÓÚ5£¬£¬£¬£¬ £¬£¬½ÓÄÉУÕý¹«Ê½Ò²±Èχ2Ô­ÅÌËãÒªÁìÎó²îС¡£¡£¡£¡£¡£¡£¡£¡£
2ª± Á½×éÊý¾ÝÖÐÓÐ1»ò0µÄСÑù±¾×ÊÁÏÅÌË㣺ǰ±ßÒÑÐðÊöÁËСÑù±¾ÂʵÄχ2ÅÌË㹫ʽÓëÒªÁ죬£¬£¬£¬ £¬£¬µ«ÔÚÏÖʵÊÂÇéÖУ¬£¬£¬£¬ £¬£¬Ð¡Ñù±¾×ÊÁϾ­³£·ºÆðÀíÂÛÆµÊýСÓÚ1µÄÇéÐΣ¬£¬£¬£¬ £¬£¬¼´T£¼1¡£¡£¡£¡£¡£¡£¡£¡£ÕâÖÖ×ÊÁϲ»ÒËÓÃСÑù±¾ÅÌË㹫ʽÅÌË㣬£¬£¬£¬ £¬£¬¸ü²»¿ÉÓÃËĸñ±í¹«Ê½ÅÌË㣬£¬£¬£¬ £¬£¬µ«ÒËÓÃËĸñ±íÈ·ÇиÅÂÊ·¨ÅÌËã¡£¡£¡£¡£¡£¡£¡£¡£È·ÇиÅÂÊ·¨ÊÇÓÉRª±Aª±FisherÌá³öµÄ£¬£¬£¬£¬ £¬£¬¹ÊÓÖ³ÆFisherÈ·ÇиÅÂÊÄ¥Á·¡£¡£¡£¡£¡£¡£¡£¡£´Ë·¨±¾²»ÊôÓÚχ2Ä¥Á·ÁìÓò£¬£¬£¬£¬ £¬£¬µ«¿É×÷ΪËĸñ±í×ÊÁϼÙÉèÄ¥Á·µÄÔö²¹¡£¡£¡£¡£¡£¡£¡£¡£ÏÈÈÝÈçÏ£º
È·ÇиÅÂÊ·¨ÖÖÖÖ×éºÏ¸ÅÂʵÄÅÌË㹫ʽ£¨3ª²4ª²17£©Îª£º

ʽÖÐa¡¢b¡¢c¡¢dµÄÒâÒåͬ±í3ª²4ª²5£¬£¬£¬£¬ £¬£¬£¡Îª½×³Ë·ûºÅ£¬£¬£¬£¬ £¬£¬N£¡=1×2×3×4×…×N£¬£¬£¬£¬ £¬£¬ÊýѧÉÏ»®¶¨£¡=1¡£¡£¡£¡£¡£¡£¡£¡£Ò»Ñùƽ³£ÅÌËãÆ÷²»¿ÉÅÌËãN≥70µÄ½×³Ë£¬£¬£¬£¬ £¬£¬ÕâÖÖÇéÐÎÏÂÓöÔÊýÅÌËã¡£¡£¡£¡£¡£¡£¡£¡£
Ëĸñ±íÖÐ|A-T|ÖµµÄÌØµã£º¢Ù¸÷¸ñÏàµÈ£¬£¬£¬£¬ £¬£¬Èç±í3ª²4ª²14µÄA-T£¬£¬£¬£¬ £¬£¬a¡¢dÁ½¸ñ¾ùΪ-1ª±4£¬£¬£¬£¬ £¬£¬b¡¢cÁ½¸ñ¾ùΪ+1ª±4£¬£¬£¬£¬ £¬£¬Æä¾ø¶ÔÖµÏàµÈ¡£¡£¡£¡£¡£¡£¡£¡£Òò¶øÅÌËãijһËĸñ±íµÄ|A-T|ֵʱ£¬£¬£¬£¬ £¬£¬Ö»ÐèÅÌËã±íÖÐÈÎÒ»¸ñµÄ|A-T|Öµ¼´¿É£»£»£»£» £»£»£»¢ÚÒÀ´ÎÔö¼õËĸñ±íÖÐÈκÎÒ»¸ñµÄÊý¾Ý£¬£¬£¬£¬ £¬£¬¿ÉÁгöÖܱߺϼÆÎȹÌÌõ¼þÏÂÖÖÖÖ×éºÏµÄËĸñ±í£¬£¬£¬£¬ £¬£¬ÈçʾÀý3ª²4ª²13ÖеÄÎå¸öËĸñ±í£¬£¬£¬£¬ £¬£¬»®·ÖÅÌËãÆä|A-T|Öµ£¬£¬£¬£¬ £¬£¬ÁÐÓÚ±íÏ¡£¡£¡£¡£¡£¡£¡£¡£Óɴ˿ɼû£¬£¬£¬£¬ £¬£¬Á½²àµÄ|A-T|Öµ½Ï´ó£¬£¬£¬£¬ £¬£¬¶øÖÐÐĵĽÏС¡£¡£¡£¡£¡£¡£¡£¡£
ÖÖÖÖ×éºÏÏÂÀۼƸÅÂʵÄÅÌË㣺¢ÙË«²àÄ¥Á·£º°´¹«Ê½3ª²4ª²17»®·ÖÅÌËãÁ½²àËùÓÐ|A-T|ÖµµÄ¸÷Ëĸñ±íµÄPÖµ£¬£¬£¬£¬ £¬£¬È»ºóÏà¼Ó£¬£¬£¬£¬ £¬£¬¼´ÎªË«²àÄ¥Á·µÄPÖµ£»£»£»£» £»£»£»¢Úµ¥²àÄ¥Á·£º°´Ñо¿Ä¿µÄ£¬£¬£¬£¬ £¬£¬Ö»ÅÌËãÒ»²àµÄËùÓÐ|A-T|Öµ¼´ÊǼ°´óÓÚÑù±¾|A-T|ÖµµÃËĸñ±íµÄPÖµ£¬£¬£¬£¬ £¬£¬È»ºóÏà¼Ó£¬£¬£¬£¬ £¬£¬¼´Îªµ¥²àÄ¥Á·µÄPÖµ¡£¡£¡£¡£¡£¡£¡£¡£
ʾÀý3ª²3ª²13£ºÄ³Ò½ÉúÓÃоÉÁ½ÖÖÒªÁìÖÎÁÆÉÕÉ˺óѪÐ鲡È˹²¼Æ27Àý£¬£¬£¬£¬ £¬£¬Ð§¹û»ãÓÚ±í3ª²4ª²14ÖУ¬£¬£¬£¬ £¬£¬ÎÊоÉÒ©ÎïµÄÁÆÐ§ÓÐÎÞ²î±ð£¿£¿£¿£¿£¿£¿£¿£¿

¡¾½âÌâ°ì·¨¡¿
£¨1£©½¨ÉèÄ¥Á·¼ÙÉ裺H0£ºÐÂÒ©Óë¾ÉÒ©ÖÎÓúÂÊÏàµÈ£¬£¬£¬£¬ £¬£¬¼´π1=π2£»£»£»£» £»£»£»H1£ºÐÂÒ©Óë¾ÉÒ©ÖÎÓúÂʲ»ÏàµÈ£¬£¬£¬£¬ £¬£¬¼´π1≠π2¡£¡£¡£¡£¡£¡£¡£¡£
£¨2£©È·¶¨ÏÔÖøË®×¼£ºα=0ª±05¡£¡£¡£¡£¡£¡£¡£¡£
£¨3£©ÅÌËã¸ÅÂÊP£º±¾×éN=25£¼40£¬£¬£¬£¬ £¬£¬ÇÒÓÖT£¼5£¬£¬£¬£¬ £¬£¬¹ÊÒËÓÃÈ·ÇиÅÂÊ·¨¡£¡£¡£¡£¡£¡£¡£¡£Óɱí3ª²4ª²14¿É¼û£¬£¬£¬£¬ £¬£¬×îСÖܱߺϼÆÊýΪ4£¬£¬£¬£¬ £¬£¬¹ÊËùÓпÉÄܵÄ×éºÏÓÐ5ÖÖ£¬£¬£¬£¬ £¬£¬»®·ÖΪ£º

£¨4£©È·¶¨PÖµ£¬£¬£¬£¬ £¬£¬×ö³öÍÆ¶Ï½áÂÛ£ºPÖµÓ¦¼´ÊÇËùÓÐСÓÚÑù±¾µãµÄÖÖÖÖ¸ÅÂÊÖ®ºÍ£¬£¬£¬£¬ £¬£¬±¾ÀýÇкÏÑù±¾µãÒªÇóÕßΪ£¨1£©¡¢£¨2£©¡¢£¨5£©£¬£¬£¬£¬ £¬£¬Òò´Ë£¬£¬£¬£¬ £¬£¬PÖµµÄ×éºÏΪÉÏÊöÈýµãÖ®ºÍ£¬£¬£¬£¬ £¬£¬¼´P=0ª±0166+0ª±1423+0ª±1079=0ª±2668¡£¡£¡£¡£¡£¡£¡£¡£°´α=0ª±05Ë®×¼£¬£¬£¬£¬ £¬£¬P£¾0ª±05¡£¡£¡£¡£¡£¡£¡£¡£²»¿ÉÒÔΪÁ½ÖÖÁÆ·¨µÄÖÎÓúÂÊÓÐͳ¼ÆÑ§²î±ð¡£¡£¡£¡£¡£¡£¡£¡£
3ª±²éËĸñ±íÏÔÖøÐÔÄ¥Á·ÓÃ±í£¨CÖµ±í£©·¨£º´ËÒªÁìÇáÓ¯Ò×ÐУ¬£¬£¬£¬ £¬£¬±¾ÎIJ»ÔÙÐðÊö£¬£¬£¬£¬ £¬£¬¿É²ÎÕÕÓйØ×ÊÁÏÅÌÎÊ¡£¡£¡£¡£¡£¡£¡£¡£

¡¾ÍøÕ¾µØÍ¼¡¿¡¾sitemap¡¿