zotyÖÐÅ·ÌåÓý

English zotyÖÐÅ·ÌåÓý¼¯ÍÅÆóÒµÓÊÏä

µÚ¶þ½Ú Ïà¶ÔΣÏնȹ«Ê½µÄÐÎòÓëÓ¦ÓÃ

×÷ÕߣºÐìÈÙÏé ³öÊéÉ磺Öйú¿ÆÑ§ÊÖÒÕ³öÊéÉç ¿¯ÐÐÈÕÆÚ£º2009Äê7ÔÂ

Ò»¡¢Ïà¶ÔΣÏÕ¶ÈÓëʾÀýÆÊÎö
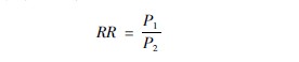
RRͨ³£ÓÃÓÚǰհÐÔÑо¿¡£¡£¡£¡£¡£¡£ ¡£ ¡£¹«Ê½ÖеÄP1ºÍP2»®·ÖÌåÏÖͳһÊÂÎñÔÚÁ½ÖÖ²î±ðÇéÐÎϵı¬·¢ÂÊ¡£¡£¡£¡£¡£¡£ ¡£ ¡£Ò»Ñùƽ³£ÓÃP1ÌåÏÖ̻¶ÔÚΣÏÕÒòËØÏÂijÊÂÎñµÄ±¬·¢ÂÊ£»£»£» £»£»P2ÌåÏÖδ̻¶ÔÚΣÏÕÒòËØÏÂijÊÂÎñµÄ±¬·¢ÂÊ £¬£¬ £¬£¬£¬£¬£¬Á½ÕßÖ®±ÈÖµ¾ßÓб¶Êý¹ØÏµ¡£¡£¡£¡£¡£¡£ ¡£ ¡£ÊÂÎñÖ¸µÄÊÇÖîÈ综²¡¡¢éæÃü¡¢Ñ¬È¾¡¢·¢²¡µÈ¡£¡£¡£¡£¡£¡£ ¡£ ¡£
Ïà¶ÔΣÏÕÐÔ£¨RR£©µÄÅÌË㹫ʽ£¨3ª²5ª²1£©Îª£º

ʾÀý3ª²5ª²1ijҽÉúÊÓ²ìÁË150Àý³ÉÄê´óÃæ»ýÉÕÉË»¼Õß £¬£¬ £¬£¬£¬£¬£¬ÆäÖÐ100ÀýÉËǰÓÐθʮ¶þÖ¸³¦À£Ññ²¡Ê· £¬£¬ £¬£¬£¬£¬£¬ÉÕÉ˺󱬷¢³öѪÕß10Àý £¬£¬ £¬£¬£¬£¬£¬50ÀýÎÞÀ£Ññ²¡Ê·ÕßÉÕÉ˺󱬷¢³öѪÕß2Àý £¬£¬ £¬£¬£¬£¬£¬ÊÔÅÌËãÓÐÀ£Ññ²¡ÓëÎÞÀ£Ññ²¡ÉÕÉË»¼ÕßÏû»¯µÀ³öѪµÄÏà¶ÔΣÏÕ¶È¡£¡£¡£¡£¡£¡£ ¡£ ¡£
¡¾½âÌâ°ì·¨¡¿
1ª±ÏȽ«ÌâÖÐµÄÆµÊýÂþÑÜÁÐÈ루±í3ª²5ª²1£©¡£¡£¡£¡£¡£¡£ ¡£ ¡£

2ª±»®·ÖÅÌËãÀ£Ññ×éÓëÎÞÀ£Ññ×éµÄP1ÓëP2Öµ£º P1=10/100=0ª±1£¨»ò10%£©£»£»£» £»£»P2=2/50=0ª±04£¨»ò4%£©¡£¡£¡£¡£¡£¡£ ¡£ ¡£
3ª±½«P1ÓëP2Ч¹û´úÈ빫ʽ3ª²5ª²1 £¬£¬ £¬£¬£¬£¬£¬µÃ£º

4ª±Ð§¹ûÆÊÎö£ºÉÕÉËǰÓÐÀ£Ññ²¡²¡Ê·ÕßÏû»¯µÀ³öѪµÄÏà¶ÔΣÏÕ¶ÈRR=2ª±5 £¬£¬ £¬£¬£¬£¬£¬ÕâÒâζ×ÅÓÐÀ£Ññ²¡²¡Ê·ÕßÉÕÉ˺óÏû»¯µÀ³öѪʱ»úÊÇÎÞÀ£Ññ²¡²¡Ê·ÕßµÄ2ª±5±¶¡£¡£¡£¡£¡£¡£ ¡£ ¡£
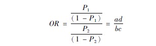
¶þ¡¢ ±ÈÊý±È(OR£©ÓëʾÀýÆÊÎö
ORÒ²³ÆÓÅÊÆ±È £¬£¬ £¬£¬£¬£¬£¬³£ÓÃÓÚ»ØÊ×ÐÔÑо¿¡£¡£¡£¡£¡£¡£ ¡£ ¡£Óɹ«Ê½£¨5ª²5ª²2£©¿ÉÒÔ¿´³ö £¬£¬ £¬£¬£¬£¬£¬ËüÃÇÖ»ÊÇÁ½¸ö±ÈÊýÏà³ý £¬£¬ £¬£¬£¬£¬£¬Òò´Ë £¬£¬ £¬£¬£¬£¬£¬³ÆÎª±ÈÊý±È¡£¡£¡£¡£¡£¡£ ¡£ ¡£±ÈÊý±ÈµÄÖ÷ÒªÒâÒåÔÚÓÚµ±Ä³ÊÂÎñµÄ±¬·¢ÂÊ£¨Èç·¢²¡ÂÊ»ò»¼²¡ÂÊ £¬£¬ £¬£¬£¬£¬£¬»ò²¡ËÀÂÊ£©ºÜСµÄÇéÐÎÏ £¬£¬ £¬£¬£¬£¬£¬1-P1≈1 £¬£¬ £¬£¬£¬£¬£¬1-P2≈1 £¬£¬ £¬£¬£¬£¬£¬´Ó¶øOR≈RR¡£¡£¡£¡£¡£¡£ ¡£ ¡£¼´ÔÚijÊÂÎñ±¬·¢ÂʺÜСµÄÇéÐÎÏ £¬£¬ £¬£¬£¬£¬£¬±ÈÊý±È½üËÆµØ¼´ÊÇÏà¶ÔΣÏÕ¶È¡£¡£¡£¡£¡£¡£ ¡£ ¡£±ðµÄ £¬£¬ £¬£¬£¬£¬£¬µ±OR=1ʱ £¬£¬ £¬£¬£¬£¬£¬Ò»¶¨»áÓÐRR=1 £¬£¬ £¬£¬£¬£¬£¬·´Ö® £¬£¬ £¬£¬£¬£¬£¬µ±RR=1ʱ £¬£¬ £¬£¬£¬£¬£¬Ò»¶¨»áÓÐOR=1¡£¡£¡£¡£¡£¡£ ¡£ ¡£
±ÈÊý±È(OR£©µÄÅÌË㹫ʽ£ºÎª£¨3ª²5ª²2£©£º

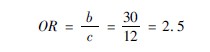
ʾÀý3ª²5ª²2ijҽÉúÑо¿ÉÕÉËÓëÖ°ÒµµÄ¹ØÏµ £¬£¬ £¬£¬£¬£¬£¬¹²ÊÓ²ìÁË2¸ö¹¤³§µÄÖ°¹¤ £¬£¬ £¬£¬£¬£¬£¬¸÷100ÈË £¬£¬ £¬£¬£¬£¬£¬»¯¹¤³§100ÈËÖÐÓÐ20ÈËÒ»¾­±¬·¢¹ýÉÕÉË £¬£¬ £¬£¬£¬£¬£¬·ÄÉ´³§100ÈËÖÐÓÐ5ÈËÒ»¾­±¬·¢¹ýÉÕÉË £¬£¬ £¬£¬£¬£¬£¬ÅÌËãÆä±ÈÊý±È¡£¡£¡£¡£¡£¡£ ¡£ ¡£
¡¾½âÌâ°ì·¨¡¿
1ª±½«Ê¾Àý3ª²5ª²2ÖеÄÊýÖµ»ãÓÚ±í3ª²5ª²2ÖУº

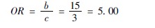
2ª±»®·ÖÅÌËãadÓëbc£ºad=20×95=1900 £¬£¬ £¬£¬£¬£¬£¬bc=80×5=400¡£¡£¡£¡£¡£¡£ ¡£ ¡£
3ª±ÅÌËãOR£º1900/400=4ª±75¡£¡£¡£¡£¡£¡£ ¡£ ¡£
4ª±Ð§¹ûÆÊÎö£º»¯¹¤Ö°ÒµµÄÉÕÉ˱¬·¢Ê±»úÊÇ·ÄÉ´Ö°ÒµµÄ4ª±75±¶¡£¡£¡£¡£¡£¡£ ¡£ ¡£
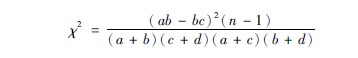
µÚÈý½ÚORÖµµÄχ2Ä¥Á·
“²¡Àý-±ÈÕÕÑо¿”ÊÇͨ¹ý»ØÖ÷ÒªÁì½ÏÁ¿²¡ÀýºÍ±ÈÕÕ»¼ÕßÔÚ»¼²¡Ç°Ì»Â¶ÓÚijÖÖ¿ÉÄܵÄΣÏÕÒòËØ·½ÃæµÄ²î±ð £¬£¬ £¬£¬£¬£¬£¬ÆÊÎö¸ÃÒòËØÓë¼²²¡µÄ¿ÉÄܹØÏµ¡£¡£¡£¡£¡£¡£ ¡£ ¡£²¡Àý-±ÈÕÕÑо¿ÖÐ £¬£¬ £¬£¬£¬£¬£¬ÈôÊDz¡Àý×éÓë±ÈÕÕ×éµÄ̻¶ʷֻȡ̻¶ºÍ·Ç̻¶Á½¸öˮƽ £¬£¬ £¬£¬£¬£¬£¬³£ÓÃÉè¼ÆÒªÁìÓÐÁ½ÖÖ £¬£¬ £¬£¬£¬£¬£¬Ò»¸öÊdzÉ×éµÄ²¡Àý±ÈÕÕÉè¼Æ £¬£¬ £¬£¬£¬£¬£¬ÁíÒ»¸öÊÇÅä¶ÔµÄ²¡Àý-±ÈÕÕÉè¼Æ £¬£¬ £¬£¬£¬£¬£¬¼´1¡Ã1Åä¶ÔÉè¼Æ¡£¡£¡£¡£¡£¡£ ¡£ ¡£ËüÃÇËäÈ»¶¼ÊǽÓÄÉËĸñ±íÅÅÁÐÐÎʽ £¬£¬ £¬£¬£¬£¬£¬µ«ÄÚÈݽṹ·×ÆçÑù(¼û±í3ª²5ª²3ºÍ3ª²5ª²4)¡£¡£¡£¡£¡£¡£ ¡£ ¡£

Ò»¡¢³É×鲡Àý-±ÈÕÕÑо¿
³É×鲡Àý-±ÈÕÕÑо¿Ò²³Æ³É×é×ÊÁÏ £¬£¬ £¬£¬£¬£¬£¬ÊôÓÚµ¥ÒòËØÆÊÎö¡£¡£¡£¡£¡£¡£ ¡£ ¡£³É×éÓë±ÈÕÕÑо¿²¡Àý¶à²»ÊÇÀ´×ÔÒ»Àο¿ÈËȺ £¬£¬ £¬£¬£¬£¬£¬¿ÉÄÜΪÃÅÕï»ò²¡·¿²¡ÈË £¬£¬ £¬£¬£¬£¬£¬¹ÊÎÞ·¨ÅÌËã·¢²¡ÂÊ»òéæÃüÂÊ £¬£¬ £¬£¬£¬£¬£¬Ò²ÄÑÒÔÅÌËãRRÖµ £¬£¬ £¬£¬£¬£¬£¬Ö»ÄÜÓÃORÀ´Ô¤¼ÆRRÖµµÄ¾Þϸ £¬£¬ £¬£¬£¬£¬£¬Ó¦½ÓÄɱÈÊý±È£¨OR£©¹«Ê½ÅÌËã £¬£¬ £¬£¬£¬£¬£¬ ÅÌË㹫ʽ½ÓÄÉ3ª²5ª²2 £¬£¬ £¬£¬£¬£¬£¬ÏÔÖøÐÔÄ¥Á·¹«Ê½Îª(3ª²5ª²3)£º

ʾÀý3ª²5ª²3ijҽÉúÑо¿Æ¤·ôñ£ºÛ°©ÓëÉÕÉËñ£ºÛµÄ¹ØÏµ £¬£¬ £¬£¬£¬£¬£¬×ÊÁÏ»ãÓÚ±í3ª²5ª²5ÖС£¡£¡£¡£¡£¡£ ¡£ ¡£ÎÊÉÕÉËñ£ºÛÊÇ·ñÊÇ×é³ÉÉÕÉËñ£ºÛ°©µÄΣÏÕÒòËØ£¿£¿£¿£¿£¿£¿£¿

¡¾½âÌå°ì·¨¡¿
1ª±Æ¾Ö¤¹«Ê½3ª²5ª²2 £¬£¬ £¬£¬£¬£¬£¬ÅÌËã±ÈÊý±È£¨OR£©£º

2ª±±ÈÊý±ÈµÄ¼ÙÉèÄ¥Á·£ºµ±OR=1ʱ £¬£¬ £¬£¬£¬£¬£¬ÒÔΪñ£ºÛ°©ÓëÉÕÉËñ£ºÛÎÞ¹ØÁª¡£¡£¡£¡£¡£¡£ ¡£ ¡£
3ª±½¨ÉèÄ¥Á·¼ÙÉè £¬£¬ £¬£¬£¬£¬£¬È·¶¨Ä¥Á·Ë®×¼£ºH0£º×ÜÌåOR=1£»£»£» £»£»H1£º×ÜÌåOR≠1£»£»£» £»£»α=0ª±05¡£¡£¡£¡£¡£¡£ ¡£ ¡£
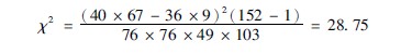
4ª±ÅÌËãΧ2ÊýÖµ£ºÒÔ¹«Ê½£¨3ª²5ª²3£©ÅÌËã £¬£¬ £¬£¬£¬£¬£¬µÃ£º

5ª±Ð§¹ûÆÊÎö£ºÒò±¾Àýχ2=28ª±75 £¬£¬ £¬£¬£¬£¬£¬28ª±75£¾χ20ª±005£¨1£©£¨7ª±88£© £¬£¬ £¬£¬£¬£¬£¬¹ÊP£¼0ª±005 £¬£¬ £¬£¬£¬£¬£¬±ÈÊý±ÈÓкÜÊÇÏÔÖøÒâÒå £¬£¬ £¬£¬£¬£¬£¬¹Ê¿ÉÒÔΪÉÕÉËñ£ºÛ±¬·¢°©±äµÄΣÏÕÐÔ´óÓÚ·ÇÉÕÉËñ£ºÛÈËȺ¡£¡£¡£¡£¡£¡£ ¡£ ¡£
¶þ¡¢ Åä¶ÔÉè¼Æ×ÊÁÏÆÊÎö
Åä¶Ô×ÊÁÏÆÊÎöÓֳƓ1¡Ã1”Åä¶Ô×ÊÁÏ £¬£¬ £¬£¬£¬£¬£¬Ò²Êôµ¥ÒòËØ×ÊÁÏ¡£¡£¡£¡£¡£¡£ ¡£ ¡£µ±“²¡Àý-±ÈÕÕÑо¿”ÊÇÒÔһȷ¶¨ÈËȺΪ¹¤¾ß£¨¸ÃÈ·¶¨ÈËȺ°üÀ¨ÁËËùÓв¡Àý»òËùÓв¡ÀýµÄÒ»¸öËæ»úÑù±¾£©Ê± £¬£¬ £¬£¬£¬£¬£¬¿ÉÓÃÒÔϹ«Ê½ÅÌËãÆäÈËȺÖÐ̻¶ÕßÓë·Ç̻¶ÕßÈËÊý £¬£¬ £¬£¬£¬£¬£¬²¢½«Æä×÷Ϊ·Öĸ £¬£¬ £¬£¬£¬£¬£¬Çó³öÁ½×éµÄ·¢²¡ÂÊ»òéæÃüÂÊ £¬£¬ £¬£¬£¬£¬£¬È»ºóÅÌËãORºÍ¾ÙÐÐÏÔÖøÐÔÄ¥Á·¡£¡£¡£¡£¡£¡£ ¡£ ¡£

ʾÀý3ª²5ª²4ijҽÉúÑо¿´óÃæ»ýÉÕÉ˽ÓÄɓ賦ð¤Ä¤±£»£»£» £»£»¤¼Á”Ô¤·Àθ³öѪµÄ×÷Óà £¬£¬ £¬£¬£¬£¬£¬×ÊÁÏ»ãÓÚ±í3ª²5ª²6ÖС£¡£¡£¡£¡£¡£ ¡£ ¡£ÎÊ´óÃæ»ýÉÕÉ˲¡È˲»±Ø“賦ð¤Ä¤±£»£»£» £»£»¤¼Á”¾ÙÐÐÔ¤·ÀÖÎÁÆ £¬£¬ £¬£¬£¬£¬£¬ÊÇ·ñÊÇ´óÃæ»ýÉÕÉ˲¡È˱¬·¢Î¸³öѪµÄΣÏÕÒòËØ?

¡¾½âÌâ°ì·¨¡¿
1ª±Æ¾Ö¤¹«Ê½£¨3ª²5ª²4£© £¬£¬ £¬£¬£¬£¬£¬ÇóORµÄÖµ£º

2ª±±ÈÊý±ÈµÄ¼ÙÉèÄ¥Á·£º¼´Ä¥Á·×ÜÌåORÓë1Ö®¼äµÄ²î±ðÊÇ·ñ¾ßÓÐͳ¼ÆÑ§ÒâÒå¡£¡£¡£¡£¡£¡£ ¡£ ¡£
£¨1£©½¨ÉèÄ¥Á·¼ÙÉè £¬£¬ £¬£¬£¬£¬£¬È·¶¨Ä¥Á·Ë®×¼£ºH0£º×ÜÌåOR=1£»£»£» £»£» H1£º×ÜÌåOR≠1£»£»£» £»£» α=0ª±05¡£¡£¡£¡£¡£¡£ ¡£ ¡£
£¨2£©ÅÌËãÄ¥Á·Í³¼ÆÁ¿£ºÆ¾Ö¤±í3ª²5ª²5Êý¾Ý £¬£¬ £¬£¬£¬£¬£¬ÅÌËãX2Öµ£º

3ª±È·¶¨PÖµ £¬£¬ £¬£¬£¬£¬£¬×÷³öÍÆ¶Ï½áÂÛ£º
²éχ2½çÖµ±í £¬£¬ £¬£¬£¬£¬£¬ÓÉÓÚ×ÔÓɶȣ¨n′£©=1 £¬£¬ £¬£¬£¬£¬£¬ χ2=6ª±72£¾χ20ª±01(1)¡£¡£¡£¡£¡£¡£ ¡£ ¡£°´α=0ª±05µÄË®×¼¾Ü¾øH0 £¬£¬ £¬£¬£¬£¬£¬½ÓÊÜH1 £¬£¬ £¬£¬£¬£¬£¬ËµÃ÷賦ð¤Ä¤±£»£»£» £»£»¤¼Á¶Ô´óÃæ»ýÉÕÉ˲¡È˳¦µÀ³öѪ¾ßÓб£»£»£» £»£»¤×÷Óà £¬£¬ £¬£¬£¬£¬£¬ËµÃ÷²»±ØÎ¸³¦ð¤Ä¤±£»£»£» £»£»¤¼Á·ÀÖÎÕß±¬·¢³¦µÀ³öѪµÄÏà¶ÔΣÏÕÐÔΪ±£»£»£» £»£»¤ÖÎÁÆ×éµÄ6ª±72±¶¡£¡£¡£¡£¡£¡£ ¡£ ¡£
Èý¡¢ ¹ØÓÚORµÄ95%¿ÉÐÅÇø¼äµÄÅÌËã
ORÅÌËãÖµ½öÊÇÒ»¸ö×ÜÌå²ÎÊý £¬£¬ £¬£¬£¬£¬£¬ËüËùÖ¸µÄ½öÊÇÒ»¸öÃæ £¬£¬ £¬£¬£¬£¬£¬¶ø²»ÊÇÒ»¸öµã £¬£¬ £¬£¬£¬£¬£¬ÐèÒªÅÌËãÆä95%µÄ¿ÉÐÅÇø¼ä £¬£¬ £¬£¬£¬£¬£¬ÅÌË㹫ʽΪ£¨3ª²5ª²6£©£ºOR1±1ª±96/Χ2
ʾÀý3ª²5ª²5£ºÄ³Ò½ÉúÑо¿»§ÄÚÉÕÉËÓë»§ÍâÉÕÉËÓëÎüÈëËðÉ˵ĹØÏµ £¬£¬ £¬£¬£¬£¬£¬Ð§¹û¼û±í3ª²5ª²7£º

¡¾½âÌâ°ì·¨¡¿
1ª±Æ¾Ö¤¹«Ê½£¨3ª²5ª²2£©ÅÌËãOR£º

3ª±Òò×ÔÓɶÈΪ1 £¬£¬ £¬£¬£¬£¬£¬χ2£¾6ª±64 £¬£¬ £¬£¬£¬£¬£¬¹ÊP£¼0ª±01 £¬£¬ £¬£¬£¬£¬£¬±ÈÊý±ÈÓкÜÊÇÏÔÖøÒâÒå £¬£¬ £¬£¬£¬£¬£¬¿ÉÒÔΪ̻¶ÓÚÊÒÄÚÇéÐα¬·¢ÎüÈëËðÉ˵ÄΣÏÕÐÔ±ÈÊÒÍâ×éΪ¸ß¡£¡£¡£¡£¡£¡£ ¡£ ¡£
4ª±Æ¾Ö¤ORµÄ95%¿ÉÐÅÇø¼äµÄÅÌË㹫ʽ£¨3ª²5ª²6£©£ºORµÄ95%¿ÉÐÅÇø¼äΪ£º

1ª±99£¨1±1ª±96/15ª±93£©£¨¼´ÉÏϲ¨¶¯¹æÄ£ÔÚ1ª±42¡«2ª±79Ö®¼ä£©¡£¡£¡£¡£¡£¡£ ¡£ ¡£
ʾÀý3ª²5ª²6£ºÄ³Ò½ÉúÑо¿»¯¹¤Óë·Ç»¯¹¤Ö°Òµ¹¤ÈËÓëÉÕÉ˵ĹØÏµ £¬£¬ £¬£¬£¬£¬£¬ÊÓ²ì×ÊÁÏ»ãÓÚ±í3ª²5ª²8 £¬£¬ £¬£¬£¬£¬£¬ÎÊ̻¶ÓÚ»¯¹¤Ö°Òµ×鹤È˱¬·¢ÉÕÉ˵ÄΣÏÕÐÔÊÇ·ñ¸ßÓÚ·Ç»¯¹¤Ö°Òµ×飿£¿£¿£¿£¿£¿£¿²¢ÅÌËãÆä95%¿ÉÐÅÇø¼ä¡£¡£¡£¡£¡£¡£ ¡£ ¡£

¡¾½âÌâ°ì·¨¡¿
1ª±Æ¾Ö¤¹«Ê½£¨3ª²5ª²4£©ÅÌËãOR£º

2ª±Æ¾Ö¤¹«Ê½£¨3ª²5ª²5£©ÅÌËãχ2Öµ£º

3ª±Òò×ÔÓɶÈΪ1 £¬£¬ £¬£¬£¬£¬£¬χ2£¾6ª±64 £¬£¬ £¬£¬£¬£¬£¬¹ÊP£¼0ª±01 £¬£¬ £¬£¬£¬£¬£¬±ÈÊý±ÈÓɺÜÊÇÏÔÖøÒâÒå £¬£¬ £¬£¬£¬£¬£¬¿ÉÒÔΪ̻¶ÓÚ»¯¹¤Ö°Òµ±¬·¢ÉÕÉ˵ÄΣÏÕÐԱȷǻ¯¹¤×éΪ¸ß¡£¡£¡£¡£¡£¡£ ¡£ ¡£
4ª±Æ¾Ö¤ORµÄ95%¿ÉÐÅÇø¼äµÄÅÌË㹫ʽ£¨3ª²5ª²6£©£ºORµÄ95%¿ÉÐÅÇø¼äΪ£º

2ª±5£¨1+1ª±96/6ª±88£©£¨¼´ÉÏϲ¨¶¯¹æÄ£ÔÚ1ª±26¡«4ª±96£©

¡¾ÍøÕ¾µØÍ¼¡¿¡¾sitemap¡¿