zotyÖÐÅ·ÌåÓý

English zotyÖÐÅ·ÌåÓý¼¯ÍÅÆóÒµÓÊÏä

µÚ¶þ½Ú Ñù±¾¾ùÊýÓë×ÜÌå¾ùÊýµÄtÄ¥Á·

×÷ÕߣºÐìÈÙÏé ³öÊéÉ磺Öйú¿ÆÑ§ÊÖÒÕ³öÊéÉç ¿¯ÐÐÈÕÆÚ£º2009Äê7ÔÂ

ÔÚÁÙ´²Óë¿ÆÑÐÊÂÇéÖУ¬£¬£¬£¬£¬£¬£¬£¬¾­³£Óöµ½Á½¸öÑù±¾¾ùÊýµÄ½ÏÁ¿ÎÊÌ⣬£¬£¬£¬£¬£¬£¬£¬ÀýÈ磬£¬£¬£¬£¬£¬£¬£¬²¡ÈËÓ뿵½¡È˺ìϸ°ûƽ¾ùÊýµÄ½ÏÁ¿£¬£¬£¬£¬£¬£¬£¬£¬Í¬ÖÖ²¡ÈËÖÎÁÆÇ°ºóѪѹƽ¾ùÊýµÄ½ÏÁ¿µÈ¡£¡£ ¡£¡£¡£¡£¡£¡£Á½¸ö¾ùÊýÖ®¼ä×ÜÊÇÓвî±ðµÄ£¬£¬£¬£¬£¬£¬£¬£¬ÍêȫһÑùµÄÇéÐκÜÉÙ£¬£¬£¬£¬£¬£¬£¬£¬ÎÊÌâÊÇÎÒÃÇÓ¦ÖªµÀÕâÖÖ²î±ðÓÐÎÞÒâÒ壬£¬£¬£¬£¬£¬£¬£¬tÄ¥Á·»òuÄ¥Á·¾ÍÊÇȨºâÕâÖÖ²î±ðÓÐÎÞÒâÒåµÄÖ÷ÒªÒªÁì¡£¡£ ¡£¡£¡£¡£¡£¡£»£»£»£»£»£» £»òÕß˵tÄ¥Á·ÊÇÆ¾Ö¤tÂþÑܵļÍÂÉÀ´¾ÙÐеÄÁ½¸ö¾ùÊý²î±ðµÄÏÔÖøÐÔÄ¥Á·£¬£¬£¬£¬£¬£¬£¬£¬ÊÇÖ¸Ñù±¾¾ùÊýÓë×ÜÌå¾ùÊýµÄ²îÊý(-u)Ï൱ÓÚ±ê×¼Îó(sx)µÄ¼¸¶à±¶¡£¡£ ¡£¡£¡£¡£¡£¡£Æä¹«Ê½Îª£º

ƾ֤´ó×ÚÊÓ²ìЧ¹û£¬£¬£¬£¬£¬£¬£¬£¬»òÒÔÍù¶à´ÎʵÑéЧ¹û»òÂÄÀú£¬£¬£¬£¬£¬£¬£¬£¬¿É½«ÒÑ֪ijÊÂÎïµÄ¾ùÊý(ÈçÐÄÀíÕý³£Öµ)×÷Ϊ×ÜÌå¾ùÊý¿´´ý¡£¡£ ¡£¡£¡£¡£¡£¡£´Ëʱ¿ÉÓÃÏÂÊöÒªÁìÀ´Ä¥Á·Ñù±¾¾ùÊýÓë×ÜÌå¾ùÊý²î±ðµÄÏÔÖøÐÔ¡£¡£ ¡£¡£¡£¡£¡£¡£ÏÖÒÔÏÂÀý˵Ã÷£º
ʾÀý3ª²7ª²3ÒÑÖªÕý³£³ÉÄêÈ˵ÄÂö²«Æ½¾ùÊýΪ72´Î/·Ö£¬£¬£¬£¬£¬£¬£¬£¬ÏÖijҽÉú²âµÃ10Àý´óÃæ»ýÉÕÉË»¼ÕßÔçÆÚµÄÂö²«Æ½¾ùΪ100´Î/·Ö£¬£¬£¬£¬£¬£¬£¬£¬±ê×¼²îΪ15ª±97´Î/·Ö£¬£¬£¬£¬£¬£¬£¬£¬ÎÊ´óÃæ»ý³ÉÄêÉÕÉË»¼ÕßÔçÆÚµÄƽ¾ùÂö²«ÓëÕý³£³ÉÈËÂö²«¾ùÊýÓÐÎÞÏÔÖøÐÔ²î±ð£¿£¿£¿£¿£¿£¿£¿£¿
¡¾Ä¥Á·°ì·¨¡¿
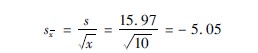
1ª±ÏÈÆ¾Ö¤±ê×¼Îó¹«Ê½£¨3ª²6ª²13£©ÅÌËã10Àý²¡ÈËÂö²«µÄ±ê×¼Îó£º

2ª±´úÈ빫ʽ£¨3ª²7ª²3£©£¬£¬£¬£¬£¬£¬£¬£¬µÃ£º

3ª±Æ¾Ö¤×ÔÓɶȴóС£¡£ ¡£¡£¡£¡£¡£¡£¬£¬£¬£¬£¬£¬£¬£¬²étÖµ±í(±¾Õ¸½±í3ª²7ª²1)£ºn′=n-1=10-1=9£¬£¬£¬£¬£¬£¬£¬£¬²éµÃtÖµµÄ0ª±05½çֵΪ2ª±262£¬£¬£¬£¬£¬£¬£¬£¬tÖµµÄ0ª±01½çֵΪ3ª±250£¬£¬£¬£¬£¬£¬£¬£¬ÏÖËãµÃtֵΪ5ª±545£¬£¬£¬£¬£¬£¬£¬£¬¼È´óÓÚ2ª±262£¬£¬£¬£¬£¬£¬£¬£¬Ò²´óÓÚ3ª±250£¬£¬£¬£¬£¬£¬£¬£¬¹Êt£¾t0ª±05£¾t0ª±01£¬£¬£¬£¬£¬£¬£¬£¬ËüµÄ¸ÅÂÊ(P)ÔÚt0ª±01Ö®ÉÏ£¬£¬£¬£¬£¬£¬£¬£¬¹ÊP£¼0ª±01£¬£¬£¬£¬£¬£¬£¬£¬Ïà²îºÜÊÇÏÔÖø¡£¡£ ¡£¡£¡£¡£¡£¡£
4ª±ÅжϣºËµÃ÷´óÃæ»ý³ÉÈËÉÕÉË»¼Õߵį½¾ùÂö²«ÓëÕý³£³ÉÈËÆ½¾ùÂö²«ÓÐ×ÅʵÖʵÄÇø±ð£¬£¬£¬£¬£¬£¬£¬£¬ÔÚͳ¼ÆÉÏÓкÜÊÇÏÔÖøÒâÒå¡£¡£ ¡£¡£¡£¡£¡£¡£

¡¾ÍøÕ¾µØÍ¼¡¿¡¾sitemap¡¿