zotyÖÐÅ·ÌåÓý

English zotyÖÐÅ·ÌåÓý¼¯ÍÅÆóÒµÓÊÏä

µÚÒ»½Ú ÌØ´óÃæ»ýÉÕÉ˲¡Àý(1)ÖÎÁƼͼ

×÷ÕߣºÐìÈÙÏé ³öÊéÉ磺Öйú¿ÆÑ§ÊÖÒÕ³öÊéÉç ¿¯ÐÐÈÕÆÚ£º2009Äê7ÔÂ

¼¯ÖÐÇ÷ÊÆ£¨central tendency£©Ö¸µÄÊÇÒ»¸ö¼ÆÁ¿×ÊÁÏÖÐËùÓÐÊÓ²ìÖµµÄÖÐÐÄλÖᣠ¡£ ¡£¡£¡£¡£¡£ÐÎò¼¯ÖÐÇ÷ÊÆµÄÖ÷ÒªÖ¸±êÓÐËãÊõ¾ùÊý£¨arithmetic mean£©¡¢¼¸ºÎ¾ùÊý£¨geometric mean£¬£¬£¬£¬£¬ £¬£¬£¬G£©ºÍÖÐλÊý£¨median£¬£¬£¬£¬£¬ £¬£¬£¬M£©£¬£¬£¬£¬£¬ £¬£¬£¬ÕâЩָ±êÒ²³ÆÎ»Öû³±§Ö¸±ê£¨measerus of location£©¡£ ¡£ ¡£¡£¡£¡£¡£
Ò»¡¢ËãÊõ¾ùÊý
ƽ¾ùÖµÊÇÌåÏÖһȺÐÔ×ÓÏàͬ±äÁ¿ÖµµÄ¼¯ÖÐÇ÷ÊÆ»òƽ¾ùˮƽ¡£ ¡£ ¡£¡£¡£¡£¡£ÀýÈ磬£¬£¬£¬£¬ £¬£¬£¬ÓûÏàʶijµØ³ÉÈËÄÐ×Óºìϸ°ûµÄÕý³£Ë®Æ½£¬£¬£¬£¬£¬ £¬£¬£¬ÈôÊÇÎÒÃÇÖ»²â¶¨Ò»Ð¡²¿·ÖÑù±¾£¨ÉÙÊýÈË£©£¬£¬£¬£¬£¬ £¬£¬£¬ÆäЧ¹ûÏÔÈ»²»¿É´ú±í×ÜÌåˮƽ£¬£¬£¬£¬£¬ £¬£¬£¬Ö»ÓÐÕÉÁ¿´ó×ڸõØÇø¿µ½¡ÄÐÐÔ»òÅ®ÐÔºìϸ°ûÊý£¬£¬£¬£¬£¬ £¬£¬£¬Çó³öÒ»¸öƽ¾ùÖµ£¬£¬£¬£¬£¬ £¬£¬£¬·½ÄܽÏÁ¿ÇкÏÏÖʵµÄ·´Ó¦³öÄÐÐÔ»òÅ®ÐÔѪҺºìϸ°ûµÄÕæÕæÏàÐΡ£ ¡£ ¡£¡£¡£¡£¡£Òò´Ë£¬£¬£¬£¬£¬ £¬£¬£¬Æ½¾ùÊýÓ¦¾ßÓÐÁ½¸ö»ù±¾ÌØÕ÷£ºÒ»¸öÊÇÓ¦µ±ÓÐһȺ´óµÄÑù±¾ÊýÄ¿£¬£¬£¬£¬£¬ £¬£¬£¬µÚ¶þ¸öÊǾßÓÐͬÐÔ×Ó¡£ ¡£ ¡£¡£¡£¡£¡£ÓÃÂí¿Ë˼µÄ»°À´Ú¹ÊÍ£¬£¬£¬£¬£¬ £¬£¬£¬“ƽ¾ùÁ¿Ö»ÊÇÖÖÀàÏàͬµÄÐí¶à²î±ðµÄ¸öÌåÁ¿µÄƽ¾ù”¡£ ¡£ ¡£¡£¡£¡£¡£ÈôÊDz»Ë¼Á¿ÐÔ×ÓÏàͬÕâÒ»Ìõ¼þ£¬£¬£¬£¬£¬ £¬£¬£¬Ã¤Ä¿ÅÌËã±äÁ¿ÖµµÄƽ¾ùÊý£¬£¬£¬£¬£¬ £¬£¬£¬²»µ«²»¿É׼ȷ˵Ã÷±»Ñо¿ÊÂÎïµÄÕæÏ࣬£¬£¬£¬£¬ £¬£¬£¬Ïà·´»¹»áµ¼Ö¹ýʧµÄ½áÂÛ¡£ ¡£ ¡£¡£¡£¡£¡£Æ½¾ùÖµµÄÅÌËãÒªÁ죺
£¨Ò»£©Ö±½ÓÅÌËã·¨
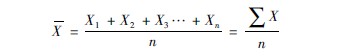
Ö±½ÓÅÌËã·¨Ò²³ÆËãÊõ¾ùÊý£¬£¬£¬£¬£¬ £¬£¬£¬ÊÊÓÃÓÚСÑù±¾¾ùÊýÅÌËã¡£ ¡£ ¡£¡£¡£¡£¡£¹«Ê½£¨3ª²6ª²1£©Îª£º

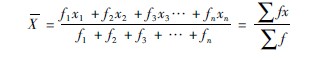
XΪƽ¾ùÊý£¬£¬£¬£¬£¬ £¬£¬£¬xΪ±äÁ¿Êý£¬£¬£¬£¬£¬ £¬£¬£¬nΪ±äÁ¿ÖµµÄ¸öÊý£¬£¬£¬£¬£¬ £¬£¬£¬∑ÌåÏÖ×ܺ͵ķûºÅ£¬£¬£¬£¬£¬ £¬£¬£¬∑xΪ¸÷±äÁ¿µÄ×ܺ͡£ ¡£ ¡£¡£¡£¡£¡£
ʾÀý3ª²6ª²1ijҽÉúÕÉÁ¿ÁË10ÀýС¶ùÉÕÉË»¼ÕßµÄÌåÖØ»®·ÖΪ£º10¡¢12¡¢14¡¢15¡¢24¡¢17¡¢33¡¢35¡¢28¡¢35kg£¬£¬£¬£¬£¬ £¬£¬£¬ÇóËûÃÇµÄÆ½¾ùÌåÖØ£¿£¿£¿£¿£¿ £¿£¿
¡¾½â¡¿Æ¾Ö¤¹«Ê½£¨3ª²6ª²1£©£¬£¬£¬£¬£¬ £¬£¬£¬ÅÌËãÈçÏ£º

´ð£ºËûÃÇµÄÆ½¾ùÌåÖØÎª22ª±3kg¡£ ¡£ ¡£¡£¡£¡£¡£
£¨¶þ£©¼ÓȨ·¨
Ò²ÊôÓÚËãÊõ¾ùÊý£¬£¬£¬£¬£¬ £¬£¬£¬ÊÊÓÃÓÚ´óÑù±¾¾ùÊýÅÌËã¡£ ¡£ ¡£¡£¡£¡£¡£¹«Ê½£¨3ª²6ª²2£©Îª£º

ʽÖÐX1£¬£¬£¬£¬£¬ £¬£¬£¬X2£¬£¬£¬£¬£¬ £¬£¬£¬X3£¬£¬£¬£¬£¬ £¬£¬£¬…Xn»®·ÖΪ¸÷×é¶ÎµÄ×éÖÐÖµ£¬£¬£¬£¬£¬ £¬£¬£¬¼´±¾×é¶ÎµÄÏÂÏÞÓëÏàÁڽϴó×é¶ÎµÄÏÂÏÞÏà¼Ó³ýÒÔ2£¬£¬£¬£¬£¬ £¬£¬£¬ÈçÏÂÀý£¨±í3ª²6ª²1£©ÖГ108~”×é¶ÎµÄ×éÖÐÖµX1=£¨108+110£©/2=109£¬£¬£¬£¬£¬ £¬£¬£¬ÓàÀàÍÆ¡£ ¡£ ¡£¡£¡£¡£¡£ÕâÀïµÄfÆðµ½Á˓ȨÊý”µÄ×÷Ó㬣¬£¬£¬£¬ £¬£¬£¬ËüȨºâÁ˸÷×éÖÐÖµÓÉÓÚÆµÊý²î±ð¶Ô¾ùÊýµÄÓ°Ïì¡£ ¡£ ¡£¡£¡£¡£¡£¼´ÆµÊý¶à£¬£¬£¬£¬£¬ £¬£¬£¬È¨Êý´ó£»£»£»£»£» £»£» £»ÆµÊýÉÙ £¬£¬£¬£¬£¬ £¬£¬£¬È¨ÊýС£¬£¬£¬£¬£¬ £¬£¬£¬×÷ÓÃҲС¡£ ¡£ ¡£¡£¡£¡£¡£Òò´Ë£¬£¬£¬£¬£¬ £¬£¬£¬±¾·¨³ÆÎª¼ÓȨ·¨¡£ ¡£ ¡£¡£¡£¡£¡£
×éÖÐÖµÅÌË㹫ʽ£¨3ª²6ª²3£©Îª£º

ʾÀý3ª²6ª²2ijҽԺ²â¼ìÁË110ÀýÌØÖØ¶ÈÉÕÉ˲¡ÈËѪҺѪºìÂѰ׺¬Á¿£¬£¬£¬£¬£¬ £¬£¬£¬ÆäŨ¶È¹æÄ£ÔÚ115¡«150g/LÖ®¼ä£¬£¬£¬£¬£¬ £¬£¬£¬ÆµÊýÂþÑÜÇéÐμû±í3ª²6ª²1£¬£¬£¬£¬£¬ £¬£¬£¬Ê¹ÓÃ×éÖÐÖµÒªÁìÅÌËãËûÃÇµÄÆ½¾ùѪºìÂѰ×Ũ¶È¡£ ¡£ ¡£¡£¡£¡£¡£

¡¾½âÌâ°ì·¨¡¿
1ª±Æ¾Ö¤110Àý²¡È˵ļì²âЧ¹û£¬£¬£¬£¬£¬ £¬£¬£¬ÒÔ2g/L²î¶î»®·ÖÆ·¼¶£¬£¬£¬£¬£¬ £¬£¬£¬¼´×é±ðÒÀ´ÎΪ£º108¡¢110¡¢112¡¢…132µÈ13¸öÆ·¼¶¡£ ¡£ ¡£¡£¡£¡£¡£
2ª±½«ËùÔÚÆ·¼¶¹æÄ£ÄÚµÄÀýÊý×÷ΪƵÊý£¬£¬£¬£¬£¬ £¬£¬£¬ÈçÔÚ108¡«110Ö®ÄÚÕß¹²1Àý£¬£¬£¬£¬£¬ £¬£¬£¬ÆäƵÊýΪ1¡£ ¡£ ¡£¡£¡£¡£¡£
3ª±Æ¾Ö¤¹«Ê½3ª²6ª²3ÅÌËã×éÖÐÖµ£ºÈÔÒÔ108¡«110×éΪÀý£¬£¬£¬£¬£¬ £¬£¬£¬±¾×é¶ÎÏÂÏÞΪ108£¬£¬£¬£¬£¬ £¬£¬£¬ÉÏÏÞΪ110£¬£¬£¬£¬£¬ £¬£¬£¬108+110/ƵÊý=218/2=109¡£ ¡£ ¡£¡£¡£¡£¡£
4ª±ÓÉÓÚfn=ƵÊý××éÖÐÖµ£¬£¬£¬£¬£¬ £¬£¬£¬ÒÔ´ËÅÌËã¸÷×éµÄѪºìÂѰ××ÜÁ¿¡£ ¡£ ¡£¡£¡£¡£¡£
5ª±½«¸÷×éµÄ×éÖÐÖµÏà¼Ó£¬£¬£¬£¬£¬ £¬£¬£¬Çó³ö∑f¡£ ¡£ ¡£¡£¡£¡£¡£
6ª±½«ÒÔÉÏÅÌËãЧ¹û»ãÖÆ±í3ª²6ª²1ÖС£ ¡£ ¡£¡£¡£¡£¡£
7ª±Æ¾Ö¤¹«Ê½£¨3ª²6ª²2£©£¬£¬£¬£¬£¬ £¬£¬£¬ÇóXÖµ£º

8ª±Ð§¹û£º110Àý²¡È˵ÄѪºìÂÑ°×Æ½¾ùֵΪ119ª±95g/L¡£ ¡£ ¡£¡£¡£¡£¡£
£¨Èý£©¼ò½Ý·¨
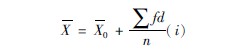
¼ò½Ý·¨Êǽ«ÆµÊý±íÉϵÄÊýÖµ¼ò»¯³É×î¼òÆÓµÄ×ÔÈ»Êý£¬£¬£¬£¬£¬ £¬£¬£¬ÔÙ°´¹«Ê½£¨3ª²6ª²4£©ÅÌËã¾ùÖµ£º

ʽÖÐXΪ¾ùÊý£¬£¬£¬£¬£¬ £¬£¬£¬X0Ϊ¼ÙÉè¾ùÊý£¬£¬£¬£¬£¬ £¬£¬£¬iΪ×é¾à£¬£¬£¬£¬£¬ £¬£¬£¬fΪ±äÁ¿ÖµµÄƵÊý£¨¼´¸öÊý£©£¬£¬£¬£¬£¬ £¬£¬£¬dΪ²îÊý£¬£¬£¬£¬£¬ £¬£¬£¬nΪÊÓ²ìÖµÊý¡£ ¡£ ¡£¡£¡£¡£¡£
¡¾½âÌâ°ì·¨¡¿
1ª±ÈÔÒÔÀý3ª²6ª²2ΪÀý£¬£¬£¬£¬£¬ £¬£¬£¬ÌåÀýƵÊý±í3ª²6ª²2¡£ ¡£ ¡£¡£¡£¡£¡£
2ª±ÅÌËã¸÷×éµÄ×éÖÐÖµ£ºÅÌË㹫ʽΪ3ª²6ª²3£¬£¬£¬£¬£¬ £¬£¬£¬µÚÒ»×éµÄ×éÖÐֵΪ£¨108+110£©/2=109¡£ ¡£ ¡£¡£¡£¡£¡£ÆäËû×éµÄ×éÖÐÖµÅÌËãÒªÁìÓë´Ë·¨Ïàͬ¡£ ¡£ ¡£¡£¡£¡£¡£
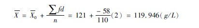
3ª±Ñ¡ÔñÒ»¸ö×éÖÐÖµ×÷Ϊ¼ÙÉè¾ùÊý£ºÎªÁ˱ãÒÔÅÌË㣬£¬£¬£¬£¬ £¬£¬£¬ÒËѡƵÊý×î¶àµÄÒ»×飬£¬£¬£¬£¬ £¬£¬£¬±¾ÀýµÚÆß×鯵Êý¶à´ï21£¬£¬£¬£¬£¬ £¬£¬£¬Ó¦ÒÔÆß×éµÄ×éÖÐÖµ£¨21£©Îª¼ÙÉè¾ùÊý¡£ ¡£ ¡£¡£¡£¡£¡£
4ª±Ã¿×éµÄ×éÖÐÖµ¶¼¼õÈ¥¼ÙÉè¾ùÊý0£¬£¬£¬£¬£¬ £¬£¬£¬È»ºó³ýÒÔ×é¾à£¨×é¾àΪ2£©£¬£¬£¬£¬£¬ £¬£¬£¬°Ñ¸÷×éµÄ×éÖÐÖµ¼ò»¯Îª×î¼òÆÓµÄ×ÔÈ»Êý£¨²îÊýd£©¡£ ¡£ ¡£¡£¡£¡£¡£µÚÆß×é×éÖÐֵΪ121£¬£¬£¬£¬£¬ £¬£¬£¬¼ÙÉè¾ùÊýΪ121¡£ ¡£ ¡£¡£¡£¡£¡£d=(121-121)=0£¬£¬£¬£¬£¬ £¬£¬£¬µÚ°Ë×éd=£¨123-121£©/2=1£¬£¬£¬£¬£¬ £¬£¬£¬ÆäÓàÀàÍÆ¡£ ¡£ ¡£¡£¡£¡£¡£´Ó±íÖеÄÅÌËãЧ¹û¿ÉÒÔ¿´³ö£¬£¬£¬£¬£¬ £¬£¬£¬Ñ¡¶¨Îª¼ÙÉèµÄÒ»×éΪ0£¬£¬£¬£¬£¬ £¬£¬£¬±ÈËüСµÄ¸÷×é¶Î˳´ÎΪ-1£¬£¬£¬£¬£¬ £¬£¬£¬-2…±ÈËü´óµÄ¸÷×é¶Î˳´ÎΪ1£¬£¬£¬£¬£¬ £¬£¬£¬2£¬£¬£¬£¬£¬ £¬£¬£¬3£¬£¬£¬£¬£¬ £¬£¬£¬…
5ª±Æ¾Ö¤±í3ª²6ª²2ÖеÄÊý¾Ý£¬£¬£¬£¬£¬ £¬£¬£¬ÅÌËãµÃ£º

´úÈ빫ʽ£¨3ª²6ª²4£©£¬£¬£¬£¬£¬ £¬£¬£¬µÃ£º

¼ò½ÝÒªÁìµÄÅÌËãЧ¹ûÓë¼ÓȨ·¨ÅÌËãЧ¹ûÏàËÆ¡£ ¡£ ¡£¡£¡£¡£¡£

¶þ¡¢¼¸ºÎ¾ùÊý
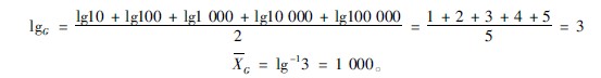
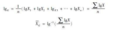
¼¸ºÎ¾ùÊý£¨geometric mean£¬£¬£¬£¬£¬ £¬£¬£¬G£©ÓÃÓÚ´¦Öóͷ£Êý¾ÝÖÐÉÙÊýÊýÖµ¹ý´óµÄ×ÊÁÏ£¬£¬£¬£¬£¬ £¬£¬£¬»òËüÃÇÖ®¼äÏà²î½Ï´ó£¬£¬£¬£¬£¬ £¬£¬£¬»òΪ±¶Êý¹ØÏµ¡£ ¡£ ¡£¡£¡£¡£¡£ÆäÖ±½Ó·¨ÅÌË㹫ʽΪ£¨3ª²6ª²4£©£º

GΪ¼¸ºÎ¾ùÊý£¬£¬£¬£¬£¬ £¬£¬£¬X1£¬£¬£¬£¬£¬ £¬£¬£¬X2…Ϊ¸÷±äÁ¿Öµ£¬£¬£¬£¬£¬ £¬£¬£¬nΪ×ÜÆµÊý¡£ ¡£ ¡£¡£¡£¡£¡£ÉÏʽ¿ÉÒÔд³É¶ÔÊýÐι«Ê½£¨3ª²6ª²5£©ºÍ¼ÓȨ¹«Ê½£¨3ª²6ª²6£©£º

ʾÀý3ª²6ª²3£º5Àý²¡ÈËѪÇ忹ÌåЧ¼Û»®·ÖΪ1¡Ã10¡¢1¡Ã100¡¢1¡Ã1000¡¢1¡Ã10000¡¢1¡Ã100000£¬£¬£¬£¬£¬ £¬£¬£¬ÇóÆäЧ¼Ûƽ¾ùÖµ¡£ ¡£ ¡£¡£¡£¡£¡£
¡¾½âÌâ°ì·¨¡¿
½«ÌâÖÐÊý×Ö´úÈ빫ʽ£¨3ª²6ª²5£©£º

´ð£º²¡ÈËѪÇ忹ÌåЧ¼Ûƽ¾ùֵΪ1¡Ã1000¡£ ¡£ ¡£¡£¡£¡£¡£
Èý¡¢ ÖÐλÊýÊý·¨
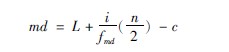
ÖÐλÊý£¨medi£¬£¬£¬£¬£¬ £¬£¬£¬M£©Ö¸Ò»×é°´¾ÞϸÐò´ÎÅÅÁеıäÁ¿Öµ£¬£¬£¬£¬£¬ £¬£¬£¬ÕýÖÐÐÄËù´¦µÄÊýֵΪÖÐÐÄÊý¡£ ¡£ ¡£¡£¡£¡£¡£µ±Ò»×é±äÁ¿ÖµÖУ¬£¬£¬£¬£¬ £¬£¬£¬´ó²¿·Ö½ÏÁ¿¼¯ÖУ¬£¬£¬£¬£¬ £¬£¬£¬½öÓÐÉÙÊýÆ«ÀëÒ»²àʱ£¬£¬£¬£¬£¬ £¬£¬£¬ÒËÓÃÖÐλÊýÌåÏÖËüÃǵļ¯ÖÐÇ÷ÊÆ¡£ ¡£ ¡£¡£¡£¡£¡£µ±±äÁ¿ÖµµÄ¸öÊýnÎªÆæÊýʱ£¬£¬£¬£¬£¬ £¬£¬£¬ÖÐλÊýËùÔÚλ´ÎΪ£¨n£«1£©/2£»£»£»£»£» £»£» £»µ±nΪżÊýʱ£¬£¬£¬£¬£¬ £¬£¬£¬Î»´Î¾ÓÖÐÒÔÁ½¸ö±äÁ¿ÖµµÄƽ¾ùÊý¼´ÎªÖÐλÊý¡£ ¡£ ¡£¡£¡£¡£¡£¹«Ê½Îª£¨3ª²6ª²7£©£º

MdΪÖÐλÊý£¬£¬£¬£¬£¬ £¬£¬£¬LΪÖÐλÊýËùÔÚ×éµÄÏÂÏÞ£¬£¬£¬£¬£¬ £¬£¬£¬iΪÖÐλÊýËùÔÚ×éµÄ×é¾à£¬£¬£¬£¬£¬ £¬£¬£¬fmdΪÖÐλÊýËùÔÚ×éµÄƵÊý£¬£¬£¬£¬£¬ £¬£¬£¬nΪ×ܶîÊý£¬£¬£¬£¬£¬ £¬£¬£¬cΪÖÐλÊýËùÔÚ×éÒÔǰµÄÀÛ¼ÆÆµÊý£¬£¬£¬£¬£¬ £¬£¬£¬ÀÛ¼ÆÆµÊýΪÿ×éÀýÊýÓëÆä֮ǰ¸÷×éÀýÊýÖ®ºÍ¡£ ¡£ ¡£¡£¡£¡£¡£
ʾÀý3ª²6ª²4±í3ª²6ª²3ÖмͼÁË145ÀýÉÕÉËÐÝ¿ËÆÚ²¡ÈËÉ˺óסԺ½ÓÊÜÖÎÁƵÄʱ¼ä£¨¼û±í3ª²6ª²3£©£¬£¬£¬£¬£¬ £¬£¬£¬ÎÊËûÃÇÐÝ¿ËÆÚסԺ½ÓÊÜÖÎÁÆÊ±¼äµÄÖÐλÊýÊǼ¸¶à£¿£¿£¿£¿£¿ £¿£¿

¡¾½âÌâ°ì·¨¡¿
´Ó±í3ª²6ª²3Öп´³ö£¬£¬£¬£¬£¬ £¬£¬£¬×ÜÆµÊý145µÄÒ»°ëΪ72ª±5£¬£¬£¬£¬£¬ £¬£¬£¬“¡«18h”×éµÄÀÛ¼ÆÆµÊýΪ101£¬£¬£¬£¬£¬ £¬£¬£¬´óÓÚ72ª±5£¬£¬£¬£¬£¬ £¬£¬£¬Òò´Ë£¬£¬£¬£¬£¬ £¬£¬£¬¸Ã×é¾ÍÊÇÖÐλÊýËùÔÚ×é¡£ ¡£ ¡£¡£¡£¡£¡£
ƾ֤¹«Ê½£¨3ª²6ª²7£©£¬£¬£¬£¬£¬ £¬£¬£¬ÅÌËãÖÐλÊý£º

£¨“¡«18h”×éµÄʱ¼äÏÂÏÞÓ¦´óÓÚ12£¬£¬£¬£¬£¬ £¬£¬£¬ÎªÅÌËãÀû±ãѡΪ12£©
´ð£º¸Ã×鲡ÈËÐÝ¿ËÆÚסԺ½ÓÊÜÖÎÁÆÊ±¼äµÄÖÐλÊýÊÇ13ª±5Сʱ¡£ ¡£ ¡£¡£¡£¡£¡£

¡¾ÍøÕ¾µØÍ¼¡¿¡¾sitemap¡¿