zotyÖÐÅ·ÌåÓý

English zotyÖÐÅ·ÌåÓý¼¯ÍÅÆóÒµÓÊÏä

µÚ¶þ½Ú ³£ÓõÄÏà¶ÔÊýÐÎò

×÷ÕߣºÐìÈÙÏé ³öÊéÉ磺Öйú¿ÆÑ§ÊÖÒÕ³öÊéÉç ¿¯ÐÐÈÕÆÚ£º2009Äê7ÔÂ

Ò»¡¢Ç¿¶ÈÏà¶ÔÊý£¨ÂÊ£©
Ç¿¶ÈÏà¶ÔÊýÓÖ³ÆÂʵÄÖ¸±ê»òÇ¿¶ÈÖ¸±ê£¬£¬£¬£¬£¬£¬£¬ÊÇÄÚÈݲî±ð¶øÓÐÁªÏµµÄÁ½¸ö×ÜÁ¿Ö¸±êµÄ±È ¡£¡£¡£¡£¡£¡£¡£ËüÅú×¢¼²²¡»òijÕ÷ÏóÔÚÒ»¶¨¹æÄ£ÄÚ·ºÆðµÄ´ÎÊý»òÆÕ±éˮƽ£¬£¬£¬£¬£¬£¬£¬Í¨³£ÒÔ100»ò1 000»ò10ÍòΪ»ùÊýÌåÏÖ ¡£¡£¡£¡£¡£¡£¡£
ÅÌË㹫ʽΪ

ʾÀý3ª²3ª²1¼×µ¥Î»¹²ÓÐÖ°¹¤2 000ÈË£¬£¬£¬£¬£¬£¬£¬ÄêÄÚ±¬·¢ÉÕÌÌÉËÕß20Àý£¬£¬£¬£¬£¬£¬£¬ÒÒµ¥Î»¹²ÓÐÖ°¹¤1 000ÈË£¬£¬£¬£¬£¬£¬£¬ÄêÄÚ±¬·¢ÉÕÌÌÉËÕßҲΪ20Àý£¬£¬£¬£¬£¬£¬£¬ÊÔÎÊËûÃǵÄÉÕÌÌÉ˱¬·¢ÂÊ»®·ÖΪ¼¸¶à£¿£¿£¿£¿£¿

¶þ¡¢½á¹¹Ïà¶ÔÊý
½á¹¹Ïà¶ÔÊýÓÖ³Æ×é³É±È»ò°Ù·Ö±È£¬£¬£¬£¬£¬£¬£¬ÊǸ÷×é³É²¿·Ö¶ÔÈ«ÌåµÄ±È£¬£¬£¬£¬£¬£¬£¬ËüÌåÏÖijÊÂÎï»òijÕ÷ÏóµÄ¸÷¸ö²¿·ÖÔÚÈ«ÌåÖÐËùÕ¼µÄ±ÈÖØ»òְ룬£¬£¬£¬£¬£¬£¬ÊÇÒ»ÖÖ×é³ÉÖ¸±ê£¬£¬£¬£¬£¬£¬£¬¹Ê³Æ×é³É±È ¡£¡£¡£¡£¡£¡£¡£³£ÓÃÓÚÌåÏÖ·¢¼²Ê±¼ä£¨Ô¡¢ÈÕ¡¢Ð¡Ê±£©¡¢ÄêËê¡¢ÐÔ±ð¡¢Ö°ÒµµÄ·ÖÅÉµÈ ¡£¡£¡£¡£¡£¡£¡£ÁÙ´²Ä¥Á·ÖÐ×î³£¼ûµÄ×é³É±ÈΪÖÖÖÖѪϸ°ûÔÚѪҺÖлòijÖÖϸ°ûÖеÄ×é³É±È ¡£¡£¡£¡£¡£¡£¡£¹«Ê½Îª£º

ʾÀý3ª²3ª²2Ò»×éÉÕÉ˲¡È˹²ÓÐ200¸ö´´Ã棬£¬£¬£¬£¬£¬£¬ÆäÖÐdz¶È´´Ãæ80¸ö£¬£¬£¬£¬£¬£¬£¬Éî¢ò¶ÈºÍ¢ó¶È´´Ãæ¸÷60¸ö£¬£¬£¬£¬£¬£¬£¬ÇóÉî¢ò¶È´´ÃæµÄ×é³É±È£¿£¿£¿£¿£¿
ƾ֤¹«Ê½£¨3ª²3ª²2£©£¬£¬£¬£¬£¬£¬£¬ÅÌËãЧ¹ûΪ£º

´ð£ºÉî¢ò¶È´´ÃæµÄ×é³É±ÈΪ30%£¨ÆäËû´´Ãæ×é³É±ÈÅÌËãÒªÁìÓë´ËÏàͬ£¬£¬£¬£¬£¬£¬£¬Ç³¢ò¶È´´Ãæ×é³É±ÈΪ40%£¬£¬£¬£¬£¬£¬£¬¢ó¶ÈΪ305£¬£¬£¬£¬£¬£¬£¬×ܺÍΪ100%£© ¡£¡£¡£¡£¡£¡£¡£
½á¹¹Ïà¶ÔÊýÓëÇ¿¶ÈÏà¶ÔÊýÊÇÁ½¸ö²î±ðµÄ¿´·¨£¬£¬£¬£¬£¬£¬£¬½á¹¹Ïà¶ÔÊý¸÷²¿·Ö¿ÉÒÔÏà¼Ó£¬£¬£¬£¬£¬£¬£¬×ܺͼ´ÊÇ100%£¬£¬£¬£¬£¬£¬£¬ÆäÖÐijһ²¿·ÖÔö´ó£¬£¬£¬£¬£¬£¬£¬ÆäËû²¿·ÖÒ»¶¨»áËõÐ ¡£¡£¡£¡£¡£¡£¡£»£»£»£»£»£»£»£»Ç¿¶ÈÏà¶ÔÊý²»¿ÉÏà¼Ó£¬£¬£¬£¬£¬£¬£¬×ÜÇ¿¶ÈÓ¦ÖØÐÂÅÌË㣬£¬£¬£¬£¬£¬£¬ÈçÀý3ª²3ª²1£¬£¬£¬£¬£¬£¬£¬ËûÃǵÄÉÕÌÌÉ˱¬·¢ÂÊ»®·ÖΪ1%ºÍ2%£¬£¬£¬£¬£¬£¬£¬²»¿ÉÓÃ1ª±5%ÌåÏÖ£¬£¬£¬£¬£¬£¬£¬¼´²»¿É°Ñ¸÷×ÔµÄÇ¿¶ÈÏà¶ÔÊýÖ®ºÍ×÷ΪËûÃǵÄ×ÜÇ¿¶È ¡£¡£¡£¡£¡£¡£¡£
Èý¡¢½ÏÁ¿Ïà¶ÔÊý
ÊÇÁ½ÖÖÕ÷ÏóµÄÊýÄ¿Ï໥½ÏÁ¿£¬£¬£¬£¬£¬£¬£¬Åú×¢Á½ÖÖÕ÷ÏóÔÚÖÖÖÖÌõ¼þϵıÈÕÕ¹ØÏµ ¡£¡£¡£¡£¡£¡£¡£Í¨³£ÒÔijÖÖÕ÷ÏóΪ1»ò100×÷Ϊ»ù´¡£¬£¬£¬£¬£¬£¬£¬ÊÓ²ìÁíÒ»ÖÖÕ÷ÏóµÄÊýÄ¿ÊǼ¸¶à ¡£¡£¡£¡£¡£¡£¡£
¹«Ê½Îª£º

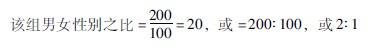
ʾÀý3ª²3ª²3ijҽԺ1ÄêÄÚ¹²ÊÕÖÎÉÕÉ˲¡ÈË300Àý£¬£¬£¬£¬£¬£¬£¬ÆäÖÐÄÐÐÔ200Àý£¬£¬£¬£¬£¬£¬£¬Å®ÐÔ100Àý£¬£¬£¬£¬£¬£¬£¬ÅÌËã¸Ã×鲡ÀýÐÔ±ðÖ®±È£¿£¿£¿£¿£¿
ƾ֤¹«Ê½£¨3ª²3ª²3£©£¬£¬£¬£¬£¬£¬£¬ÅÌËãЧ¹ûΪ£º

´ð£ºÄ³Ò½Ôº1ÄêÄÚÊÕÖÎÉÕÉ˲¡È˵ÄÄÐŮ֮±ÈΪ2¡Ã1£¬£¬£¬£¬£¬£¬£¬»ò200¡Ã100 ¡£¡£¡£¡£¡£¡£¡£ÉÏÊöʾÀýΪÁ½¸öÏà¶ÔÊýÖ®±È£¬£¬£¬£¬£¬£¬£¬Ò²¿ÉÓÃÒÔÌåÏÖÁ½¸ö¾ø¶ÔÊý»òƽ¾ùÊýÖ®±È ¡£¡£¡£¡£¡£¡£¡£
ËÄ¡¢¶¯Ì¬Ïà¶ÔÊý
¶¯Ì¬Ïà¶ÔÊýÊǰÑһϵÁÐͳ¼ÆÖ¸±ê£¨°üÀ¨¾ø¶ÔÊý¡¢Ïà¶ÔÊý»òƽ¾ùÊý£©×¼Ê±¼ä˳ÐòÅÅÁÐÆðÀ´µÄÊý¾Ý£¬£¬£¬£¬£¬£¬£¬ÒÀ´Î³ÉΪ¶¯Ì¬ÏµÁÐ ¡£¡£¡£¡£¡£¡£¡£ÆäÒâÒåÔÚÓÚ˵Ã÷ÊÂÎïÔÚʱ¼äÉϵÄת±äºÍÉú³¤Ç÷ÊÆ£¬£¬£¬£¬£¬£¬£¬ÊÓ²ìÊÂÎïÔÚ²î±ðʱÆÚÄÚµÄת±äºÍÉú³¤ ¡£¡£¡£¡£¡£¡£¡£¶¯Ì¬Ïà¶ÔÊýÁзÖΪ¶¨»ù±ÈºÍ»·±È¡¢¾ø¶ÔÔöÌíÁ¿¡¢Éú³¤ËÙÂʺÍÔöÌíËÙÂÊ¡¢Æ½¾ùÉú³¤ËÙÂÊÇå¾²¾ùÔö¼õËÙÂÊ ¡£¡£¡£¡£¡£¡£¡£³£ÓÃÖ¸±êÆÊÎö¹«Ê½ÓëÅÌËãÒªÁ죺
1ª±¶¨»ù±È
¶¨»ù±ÈÊÇÔÚ¶¯Ì¬ÊýÁÐÖУ¬£¬£¬£¬£¬£¬£¬ÒÔijһÄêµÄÊýÖµ×÷Ϊ»ùÊý£¨·Öĸ£©£¬£¬£¬£¬£¬£¬£¬È»ºó½«¸÷ÄêµÄÊýÖµÓëÖ®Ïà±È£¬£¬£¬£¬£¬£¬£¬ÒòÆä»ùÊýÊÇÀο¿µÄ£¬£¬£¬£¬£¬£¬£¬¹Ê³Æ¶¨»ù±È ¡£¡£¡£¡£¡£¡£¡£
¹«Ê½Îª£º

2ª±»·±È
ÔÚ¶¯Ì¬ÊýÁÐÖУ¬£¬£¬£¬£¬£¬£¬½«¸÷ÄêµÄÊýÖµÓëÆäǰһÄêµÄÊýÖµÏà±È£¬£¬£¬£¬£¬£¬£¬ÓÉÓÚ»ùÊýÊDz»Àο¿µÄ£¬£¬£¬£¬£¬£¬£¬²¢ÇÒÊÇÒÀ´ÎÌæ»»£¬£¬£¬£¬£¬£¬£¬¹Ê³ÆÎª»·±È ¡£¡£¡£¡£¡£¡£¡£
¹«Ê½Îª£º

3ª±¾ø¶ÔÔöÌíÁ¿¡¢Éú³¤ËÙÂʺÍÔöÌíËÙÂÊ
¢Ù¾ø¶ÔÔöÌíÁ¿£ºËµÃ÷ÊÂÎïÔÚһ׼ʱÆÚÄÚËùÔöÌíµÄ¾ø¶ÔÊýÄ¿£»£»£»£»£»£»£»£» ¢ÚÉú³¤ËÙÂʺÍÔöÌíËÙÂʾùΪÏà±ÈÕÕ£¬£¬£¬£¬£¬£¬£¬ËµÃ÷ÊÂÎïÔÚһ׼ʱÆÚÄÚµÄÉú³¤ËÙÂÊת±ä ¡£¡£¡£¡£¡£¡£¡£ÅÌËãʱ£¬£¬£¬£¬£¬£¬£¬ÈôÊÇÓÃij¸öʱÆÚµÄÖ¸±ê×÷Ϊ»ùÊý£¬£¬£¬£¬£¬£¬£¬½«¸÷ʱÆÚµÄÖ¸±êÓëÖ®Ïà±È£¬£¬£¬£¬£¬£¬£¬³ÆÎª¶¨»ù±È£»£»£»£»£»£»£»£»ÈôÊÇÒÔǰһ¸öʱÆÚµÄÖ¸±ê×÷Ϊ»ùÊý(·ÇÀο¿µÄ)£¬£¬£¬£¬£¬£¬£¬ÒÔÏàÁڵĺóÒ»¸öʱÆÚµÄÖ¸±êÓëÖ®Ïà±È£¬£¬£¬£¬£¬£¬£¬¼´Îª»·±È ¡£¡£¡£¡£¡£¡£¡£
ʾÀý3ª²3ª²410ËùÉÕÉËÖÐÐÄÔÚ¾ÅÄêÄÚÉÕÉ˲¡´²µÄÊýÄ¿±¬·¢ÁËÒÔÏÂת±ä£¨×ÊÁϼû±í3ª²3ª²1£©£¬£¬£¬£¬£¬£¬£¬ÊÔÓñí3ª²3ª²1Öеģ¨1£©¡¢£¨2£©À¸×÷Ϊ¶¯Ì¬ÆÊÎö£¬£¬£¬£¬£¬£¬£¬ÎÊÉú³¤¶¯Ì¬ÓкÎת±ä£¿£¿£¿£¿£¿  
¡¾±í3ª²3ª²1µÄÅÌËãÓëÌîд°ì·¨¡¿
µÚ£¨1£©À¸£º¶¨»ù¡ï£¬£¬£¬£¬£¬£¬£¬ÒÔ1991Ä겡´²ÊýΪ»ùÊý£¬£¬£¬£¬£¬£¬£¬ÔÚ¶¯Ì¬ÊýÁÐÖÐͳһÒÔijһʱµã»òʱÆÚµÄÖ¸±ê×÷Ϊ»ùÊý£¨·Öĸ£©£¬£¬£¬£¬£¬£¬£¬Óù«Ê½3ª²3ª²4ÅÌËã ¡£¡£¡£¡£¡£¡£¡£
µÚ£¨2£©À¸£º»·±È¡î£¬£¬£¬£¬£¬£¬£¬ÒÔǰһʱµã»òʱÆÚ£¨Ä꣩µÄÖ¸±ê£¨²¡´²Êý£©Îª»ùÊý£¨·Öĸ£©£¬£¬£¬£¬£¬£¬£¬Òò»ùÊýÒÀ´ÎÌæ»»£¬£¬£¬£¬£¬£¬£¬Óù«Ê½3ª²3ª²5ËãµÃ¸÷¸öʱµã»òʱÆÚµÄÏà±ÈÕÕ£¨»·±È£© ¡£¡£¡£¡£¡£¡£¡£
µÚ£¨3£©À¸£º1992ÄêÀÛ¼ÆÔöÌíÁ¿=2100-1400=700£»£»£»£»£»£»£»£» 1993ÄêÀÛ¼ÆÔöÌíÁ¿=2200-1400=800£»£»£»£»£»£»£»£» ÒÔÏÂ·Â´Ë ¡£¡£¡£¡£¡£¡£¡£
µÚ£¨4£©À¸£º1992ÄêÖðÄêÔöÌíÁ¿=2100-1400=700£»£»£»£»£»£»£»£» 1993ÄêÖðÄêÔöÌíÁ¿=2200-2100=100£»£»£»£»£»£»£»£»ÒÔÏÂ·Â´Ë ¡£¡£¡£¡£¡£¡£¡£
µÚ£¨5£©À¸£º1992Ä궨»ùÉú³¤ËÙÂÊ=2100/1400×100%=150ª±0%£»£»£»£»£»£»£»£» 1993Ä궨»ùÉú³¤ËÙÂÊ=2200/2100×100%=157ª±1%£»£»£»£»£»£»£»£»ÒÔÏÂ·Â´Ë ¡£¡£¡£¡£¡£¡£¡£
µÚ£¨6£©À¸£º1992Äê»·±ÈÉú³¤ËÙÂÊ=2100/1400×100%=150ª±0%£»£»£»£»£»£»£»£» 1993Äê»·±ÈÉú³¤ËÙÂÊ=2200/2100×100%=104ª±8%£»£»£»£»£»£»£»£»ÒÔÏÂ·Â´Ë ¡£¡£¡£¡£¡£¡£¡£
µÚ£¨7£©À¸£º1992Ä궨»ùÔöÌíËÙÂÊ=1992Ä궨»ùÉú³¤ËÙÂÊ-1=150ª±0%-100%=50ª±0%£»£»£»£»£»£»£»£»1993Ä궨»ùÔöÌíËÙÂÊ=1993Ä궨»ùÉú³¤ËÙÂÊ-1=157ª±1%-100%=57ª±1%£»£»£»£»£»£»£»£»ÒÔÏÂ·Â´Ë ¡£¡£¡£¡£¡£¡£¡£
µÚ£¨8£©À¸£º1992Äê»·±ÈÔöÌíËÙÂÊ=1992Äê»·±ÈÉú³¤ËÙÂÊ-1=150ª±0%-100%=50ª±0%£»£»£»£»£»£»£»£» 1993Äê»·±ÈÔöÌíËÙÂÊ=1993Äê»·±ÈÉú³¤ËÙÂÊ-1=104ª±8%-%100%=4ª±8%£»£»£»£»£»£»£»£»ÒÔÏÂ·Â´Ë ¡£¡£¡£¡£¡£¡£¡£

Óɱí3ª²3ª²1˵Ã÷£¬£¬£¬£¬£¬£¬£¬¾ÅÆäÖÐÐÄ1991ÄêÔ­ÓÐÉÕÉ˲¡´²1 400ÕÅ£¬£¬£¬£¬£¬£¬£¬ÖÁ1999ÄêÉú³¤µ½4 500ÕÅ£¬£¬£¬£¬£¬£¬£¬Ï൱ÓÚÔ­Óд²Î»µÄ321ª±4% ¡£¡£¡£¡£¡£¡£¡£
4ª±Æ½¾ùÉú³¤ËÙÂÊÇå¾²¾ùÔö¼õËÙÂÊ
ÎÀÉúÊÂÒµÖеÄÖÖÖÖÕ÷Ï󣬣¬£¬£¬£¬£¬£¬ÔÚÒ»¸ö½Ï³¤Ê±ÆÚÄÚÆäÖðÄêÉú³¤»òÔöÌíת±äËÙÂÊÊDzî±ðµÄ ¡£¡£¡£¡£¡£¡£¡£ÈçʾÀý3ª²3ª²1£¨±í3ª²3ª²1£©£¬£¬£¬£¬£¬£¬£¬8Äê¼ä¹²ÔöÌíÁË3 100ÕÅ´²Î»£¬£¬£¬£¬£¬£¬£¬ÔöÌíÁË221ª±4% ¡£¡£¡£¡£¡£¡£¡£ËäȻÿÄê¶¼ÓÐÔöÌí£¬£¬£¬£¬£¬£¬£¬µ«Éú³¤²¢²»Æ½ºâ ¡£¡£¡£¡£¡£¡£¡£1991¡«1992ÄêÔöÌí½Ï¿ì£¬£¬£¬£¬£¬£¬£¬1993¡«1996Äê¼äÔöÌí½ÏÂý ¡£¡£¡£¡£¡£¡£¡£ÎªÁËÆÊÎöºÍ½ÏÁ¿½Ï³¤Ê±ÆÚµÄÖðÄêÆ½¾ùÉú³¤»òÔöÌíÇéÐΣ¬£¬£¬£¬£¬£¬£¬ÔòÐèÒªÅÌËãÆ½¾ùÉú³¤ËÙÂÊÇå¾²¾ùÔö¼õËÙÂÊ ¡£¡£¡£¡£¡£¡£¡£
£¨1£©Æ½¾ùÉú³¤ËÙÂÊ
ƽ¾ùÉú³¤ËÙÂÊÊǸ÷¸ö»·±ÈÉú³¤ËÙÂÊµÄÆ½¾ùÊý ¡£¡£¡£¡£¡£¡£¡£Ëü˵Ã÷ijÕ÷ÏóÔÚÒ»¸ö½Ï³¤Ê±ÆÚÄÚµÄÖðÄêÆ½¾ùÉú³¤ËÙÂÊ£¬£¬£¬£¬£¬£¬£¬³£Óü¸ºÎ¾ùÊý·¨ÅÌËã ¡£¡£¡£¡£¡£¡£¡£
½«¸÷¸ö»·±ÈÉú³¤ËÙÂÊÊÓΪ±äÁ¿£¨X£©£¬£¬£¬£¬£¬£¬£¬»·±ÈÉú³¤ËÙÂʵÄÏîÊý×÷Ϊ±äÁ¿µÄ¸öÊý£¨n£©£¬£¬£¬£¬£¬£¬£¬ÓÉÓÚ¸÷¸ö»·±ÈÉú³¤ËÙÂʵÄÁ¬³Ë»ý¼´ÊÇ×îºóÒ»ÄêµÄ¶¨»ùÉú³¤ËÙÂÊ ¡£¡£¡£¡£¡£¡£¡£¹Êƽ¾ùÉú³¤ËÙÂʵÄÅÌË㹫ʽΪ£º
G=nX1·X2·X3·…·Xn=nα1α0·α2α1·αn-1αn-2·αnαn-1=nαnα0(3ª²3ª²6)
¹«Ê½ÖÐGΪƽ¾ùÉú³¤ËÙÂÊ£»£»£»£»£»£»£»£»α0Ϊ»ùÆÚˮƽ£»£»£»£»£»£»£»£»¨»1 ¡¢¨»2…Ϊ´ú±í¸÷ÆÚˮƽ£»£»£»£»£»£»£»£»¨»nΪĩÆÚˮƽ£»£»£»£»£»£»£»£»nΪ»·±ÈÉú³¤ËÙÂʵÄÏîÊý£¬£¬£¬£¬£¬£¬£¬ÓöÔÊýÅÌËã ¡£¡£¡£¡£¡£¡£¡£ÅÌË㹫ʽΪ£º

¹«Ê½ÖÐGΪƽ¾ùÉú³¤ËÙÂÊ£»£»£»£»£»£»£»£»α0Ϊ»ùÆÚˮƽ£»£»£»£»£»£»£»£»¨»1 ¡¢¨»2…Ϊ´ú±í¸÷ÆÚˮƽ£»£»£»£»£»£»£»£»¨»nΪĩÆÚˮƽ£»£»£»£»£»£»£»£»nΪ»·±ÈÉú³¤ËÙÂʵÄÏîÊý£¬£¬£¬£¬£¬£¬£¬ÓöÔÊýÅÌËã ¡£¡£¡£¡£¡£¡£¡£ÅÌË㹫ʽΪ£º

ʹÓù«Ê½£¨3ª²3ª²7£©£¬£¬£¬£¬£¬£¬£¬£¨3ª²3ª²8£©ÅÌËã±í3ª²3ª²1ÖÐ1991¡«1999Äê¼ä²¡´²ÊýµÄƽ¾ùÉú³¤ËÙÂÊΪ1ª±1572£¨115ª±72%£© ¡£¡£¡£¡£¡£¡£¡£Òòƽ¾ùÉú³¤ËÙÂÊ´óÓÚ1£¬£¬£¬£¬£¬£¬£¬ÌåÏÖΪƽ¾ùÉÏÉýËÙÂÊ£»£»£»£»£»£»£»£»Ïà·´£¬£¬£¬£¬£¬£¬£¬ÈôÊÇÆ½¾ùÉú³¤ËÙÂÊСÓÚ1£¬£¬£¬£¬£¬£¬£¬ÌåÏÖΪƽ¾ùϽµËÙÂÊ ¡£¡£¡£¡£¡£¡£¡£
£¨2£©Æ½¾ùÔö¼õËÙÂÊ
ƽ¾ùÔö¼õËÙÂÊ-1£¨100%£©ºóµÄ²îÊý¼´ÎªÆ½¾ùÔö¼õËÙÂÊ ¡£¡£¡£¡£¡£¡£¡£±í3ª²3ª²1ÖÐ1993¡«1999ÄêµÄƽ¾ùÉú³¤ËÙÂÊΪ115ª±72% ¡£¡£¡£¡£¡£¡£¡£Æäƽ¾ùÔö¼õËÙÂÊΪ115ª±72%-100%=15ª±72% ¡£¡£¡£¡£¡£¡£¡£ÌåÏÖÿÄêÆ½¾ùµÝÔö15ª±72% ¡£¡£¡£¡£¡£¡£¡£Æ½¾ùÉú³¤ËÙÂÊ´óÓÚ100%£¬£¬£¬£¬£¬£¬£¬Æ½¾ùÔö¼õËÙÂÊΪÕýÖµ£¬£¬£¬£¬£¬£¬£¬¹ÊÓÖ³ÆÆ½¾ùµÝÔöÂÊ ¡£¡£¡£¡£¡£¡£¡£Ð¡ÓÚ100%µÄƽ¾ùÉú³¤ËÙÂÊÆäÆ½¾ùÔö¼õËÙÂÊΪ¸ºÖµ£¬£¬£¬£¬£¬£¬£¬³ÆÎªÆ½¾ù½µµÍËÙÂÊ£¬£¬£¬£¬£¬£¬£¬ÌåÏÖijÕ÷ÏóÔÚijһ½Ï³¤Ê±ÆÚÄÚÖðÄêÆ½¾ùïÔÌ­µÄˮƽ£¬£¬£¬£¬£¬£¬£¬¹ÊÓÖ³ÆÆ½¾ùµÝ¼õÂÊ ¡£¡£¡£¡£¡£¡£¡£
ÁíÍ⣬£¬£¬£¬£¬£¬£¬Á½Äê·¢²¡ÂÊ»òÁ½ÄêÖÎÓúÂʵĽÏÁ¿Ò²ÊôÓÚ¶¯Ì¬Ïà¶ÔÊýÖ¸±ê ¡£¡£¡£¡£¡£¡£¡£¼ÙÉè2003Äê´óÃæ»ýÉÕÉ˲¡ËÀÂÊΪ15%£¬£¬£¬£¬£¬£¬£¬2004Äê´óÃæ»ýÉÕÉ˲¡ËÀÂÊΪ10%£¬£¬£¬£¬£¬£¬£¬Çó2004Äê´óÃæ»ýÉÕÉ˲¡ËÀÂÊϽµÁ˼¸¶à£¿£¿£¿£¿£¿Ôò£º

´ð£º2004Äê´óÃæ»ýÉÕÉ˲¡ËÀÂʱÈ2003ÄêϽµÁË1ª±5% ¡£¡£¡£¡£¡£¡£¡£

¡¾ÍøÕ¾µØÍ¼¡¿¡¾sitemap¡¿