zotyÖÐÅ·ÌåÓý

English zotyÖÐÅ·ÌåÓý¼¯ÍÅÆóÒµÓÊÏä

µÚÈý½Ú ÁÙ´²³£ÓÃÂʵĹ«Ê½ÓëÅÌËã

×÷ÕߣºÐìÈÙÏé ³öÊéÉ磺Öйú¿ÆÑ§ÊÖÒÕ³öÊéÉç ¿¯ÐÐÈÕÆÚ£º2009Äê7ÔÂ

1ª±ÁÙ´²³£ÓÃÂʵĻù±¾¹«Ê½Îª
ÂÊ£¨rate£©ÓÖ³ÆÆµÂÊÖ¸±ê £¬£¬£¬£¬ £¬£¬£¬£¬ËµÃ÷ÔÚÒ»¶¨Ìõ¼þÏ £¬£¬£¬£¬ £¬£¬£¬£¬Ä³Õ÷Ï󱬷¢µÄƵÂÊ»òÕ÷Ïó ¡£¡£¡£¡£¡£¡£¡£¡£
»ù±¾¹«Ê½Îª£º

2ª±·¢²¡ÂÊ
ָһ׼ʱÆÚÄÚij¼¯ÍÅÉú³Ýƽ¾ùÿ°Ù£¨»òǧ¡¢Íò¡¢Ê®Íò£©¸ö±¬·¢Ä³¼²²¡µÄв¡ÀýÊý ¡£¡£¡£¡£¡£¡£¡£¡£ÅÌË㹫ʽΪ£º

ʾÀý3ª²3ª²5ijµØÇø2004ÄêµÚÒ»¼¾¶ÈÊ¢ÐÐÐÔÉË·çµÄ·¢²¡ÈËÊýΪ930ÈË £¬£¬£¬£¬ £¬£¬£¬£¬¸ÃʱÆÚƽ¾ùÉú³ÝΪ10 008 £¬£¬£¬£¬ £¬£¬£¬£¬Çó¸ÃµØÇøÁ÷¸Ð±¬·¢ÂÊ£¿£¿£¿£¿ £¿ £¿£¿£¿
ƾ֤¹«Ê½(3ª²3ª²9) £¬£¬£¬£¬ £¬£¬£¬£¬ÅÌËãЧ¹ûΪ£º

´ð£º¸ÃµØÇø2004ÄêµÚÒ»¼¾¶ÈÊ¢ÐÐÐÔÉË·çµÄ·¢²¡ÂÊΪ9ª±29% ¡£¡£¡£¡£¡£¡£¡£¡£
3ª±»¼²¡ÂÊ
ÌåÏÖijһʱ¼äµãÉÏij¼¯ÍÅÉú³ÝÖУ¨³£ÒÔ°Ù¡¢Ç§¡¢Íò¡¢Ê®Íò¼Æ£©»¼ÓÐij²¡µÄÀýÊý ¡£¡£¡£¡£¡£¡£¡£¡£¸Ã¹«Ê½³£ÓÃÓÚ¼²²¡ÆÕ²éÊÂÇé £¬£¬£¬£¬ £¬£¬£¬£¬ÅÌË㹫ʽΪ£º

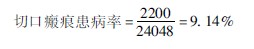
ʾÀý3ª²3ª²6ijµØÇø15ËùÒ½ÔºÆÕ²éÁË24 048Àý×÷¹ýÊÖÊõ²¡È˵ÄÇпÚÇéÐÎ £¬£¬£¬£¬ £¬£¬£¬£¬Ð§¹ûÓÐ2 200ÈËΪñ£ºÛÓúºÏ £¬£¬£¬£¬ £¬£¬£¬£¬ÎÊ×÷¹ýÊÖÊõ²¡ÈËÇпڵÄñ£ºÛ±¬·¢ÂÊÊǼ¸¶à£¿£¿£¿£¿ £¿ £¿£¿£¿
ƾ֤¹«Ê½3ª²3ª²10(±¾ÊÓ²ìÖеÄñ£ºÛ±¬·¢ÂÊÊÇÒÔñ£ºÛÓÐÎÞΪ»ù×¼ÅÌËãµÄ) £¬£¬£¬£¬ £¬£¬£¬£¬ÅÌËãЧ¹ûΪ£º

´ð£ºÊÖÊõÇпÚñ£ºÛ»¼²¡ÂÊΪ9ª±148% ¡£¡£¡£¡£¡£¡£¡£¡£
4ª±ºÏŽÕÉ˱¬·¢ÂÊ
Ö¸Ò»Åú»òÒ»×éÖ÷ÒªÍâÉ˲¡ÈËËùÅãͬµÄÆäËûÍâÉË£¨ÈçÉÕÉ˺ϲ¢¹ÇÕÛ£©µÄ±¬·¢ÇéÐÎ ¡£¡£¡£¡£¡£¡£¡£¡£
ÅÌË㹫ʽΪ£º

5ª±²¢·¢Ö¢±¬·¢ÂÊ
Ö¸Ò»Åú»òÒ»×éÖ÷Òª¼²²¡²¡ÈËËùÅãͬµÄÆäËû¼²² ¡£¡£¡£¡£¡£¡£¡£¡£¨ÈçÉÕÉ˲¢·¢Ðݿˡ¢Ñ¬È¾¡¢µç½âÖÊÔÓÂҵȣ©µÄ·¢²¡ÇéÐÎ ¡£¡£¡£¡£¡£¡£¡£¡£¹«Ê½ºÍÅÌËã·½Ó빫ʽ3ª²3ª²11ÀàËÆ ¡£¡£¡£¡£¡£¡£¡£¡£µ«ºÏ²¢ÉËÓë²¢·¢Ö¢ÊÇÁ½¸ö²î±ðµÄ¿´·¨ £¬£¬£¬£¬ £¬£¬£¬£¬Ç°ÕßÊÇÓëÖ÷Òª²¡Ö¢Ïà°é±¬·¢µÄ £¬£¬£¬£¬ £¬£¬£¬£¬ºóÕßÊÇÔÚÖÎÁÆÖ÷Òª²¡Ö¢Àú³ÌÖб¬·¢µÄ ¡£¡£¡£¡£¡£¡£¡£¡£
6ª±éæÃüÂÊ
éæÃüÂÊÊÇȨºâijµØÄ³Äê×ÜÉú³ÝÖÐ £¬£¬£¬£¬ £¬£¬£¬£¬Òò¼²²¡ËùÖÂéæÃüˮƽÆé᫵ÄÖ¸±ê £¬£¬£¬£¬ £¬£¬£¬£¬¼´Ä³ÄêÿǧÉú³ÝµÄéæÃüÊý £¬£¬£¬£¬ £¬£¬£¬£¬Í¨³£Ö¸Í¨Ë×éæÃüÂÊ£¨×ÜéæÃüÂÊ£© ¡£¡£¡£¡£¡£¡£¡£¡£
ÅÌË㹫ʽΪ£º

7ª±²¡ËÀÂÊ
²¡ËÀÂÊÓëéæÃüÂÊÊÇÁ½¸ö²î±ðµÄ¿´·¨ £¬£¬£¬£¬ £¬£¬£¬£¬²¡ËÀÂÊÌåÏÖ»¼²¡ÈËÖб¬·¢éæÃüÀýÊýµÄƵ¶È £¬£¬£¬£¬ £¬£¬£¬£¬¼´Óû¼²¡ÈËÊý×÷·Öĸ £¬£¬£¬£¬ £¬£¬£¬£¬éæÃüÂÊÊÇÒÔÉú³Ý×ÜÊý×÷·Öĸ ¡£¡£¡£¡£¡£¡£¡£¡£
ÅÌË㹫ʽΪ£º

ʾÀý3ª²3ª²7ijҽԺ2004Äê¹²ÊÕÖÎÉÕÉ˲¡ÈË450ÈË £¬£¬£¬£¬ £¬£¬£¬£¬éæÃü9ÈË £¬£¬£¬£¬ £¬£¬£¬£¬ÎʸÃÔºÉÕÉ˲¡È˵IJ¡ËÀÂÊÊǼ¸¶à£¿£¿£¿£¿ £¿ £¿£¿£¿
ƾ֤¹«Ê½£¨3ª²3ª²12£© £¬£¬£¬£¬ £¬£¬£¬£¬ÅÌËãЧ¹ûΪ£º

´ð£º¸ÃÔº2004ÄêÉÕÉ˲¡È˵IJ¡ËÀÂÊΪ2ª±0% ¡£¡£¡£¡£¡£¡£¡£¡£
´ÓÉÏÀý¿´³ö £¬£¬£¬£¬ £¬£¬£¬£¬Ñо¿Ä³Ò»¼²²¡µÄ²¡ËÀÂÊʱ £¬£¬£¬£¬ £¬£¬£¬£¬ÓÉÓÚ²»ÊÜʱ¼äÏÞÖÆ £¬£¬£¬£¬ £¬£¬£¬£¬ÒÔÊÇÖ»Òª½«ËùÊÓ²ìµÄÒ»¶¨ÃüÄ¿µÄ²¡ÈËËùÓÐÁƳ̾ÙÐÐÍê±Ï £¬£¬£¬£¬ £¬£¬£¬£¬¾Í¿ÉÒÔºÜÈÝÒ×µØÅÌËã³öËüµÄ²¡ËÀÂÊ ¡£¡£¡£¡£¡£¡£¡£¡£¿ÉÊÇÔÚÅÌËãסԺ¿Æ±ð²¡ËÀÂÊʱ £¬£¬£¬£¬ £¬£¬£¬£¬ÒòÊÜʱ¼äÉϵÄÏÞÖÆ £¬£¬£¬£¬ £¬£¬£¬£¬Óù«Ê½£¨3ª²3ª²13£©µÄÅÌËãЧ¹û²»¿É·´Ó¦³ö¸ÃʱÆÚµÄÕæÕý²¡ËÀÂÊ ¡£¡£¡£¡£¡£¡£¡£¡£Òò´Ë±ØÐèÓÃУÕý²¡ËÀÂʹ«Ê½ÅÌËã ¡£¡£¡£¡£¡£¡£¡£¡£
УÕý²¡ËÀÂʹ«Ê½Îª£º

LΪ´ú±í²¡ËÀÂÊ £¬£¬£¬£¬ £¬£¬£¬£¬dΪ´ú±íÕûÄêéæÃüÈËÊý £¬£¬£¬£¬ £¬£¬£¬£¬aΪ´ú±íÄêÍ·ÔÚÔºÈËÊý £¬£¬£¬£¬ £¬£¬£¬£¬bΪ´ú±íÕûÄêÈëÔºÈËÊý £¬£¬£¬£¬ £¬£¬£¬£¬cΪ´ú±íÕûÄê³öÔºÈËÊý ¡£¡£¡£¡£¡£¡£¡£¡£
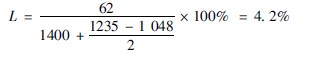
ʾÀý3ª²3ª²8ijҽԺ1996ÄêÍ·ÔÚÔºÈËÊý1 400ÈË £¬£¬£¬£¬ £¬£¬£¬£¬ÕûÄêÈëÔºÈËÊý1 235ÈË£»£»£»£»£»£»£»£»³öÔºÈËÊý1 048 £¬£¬£¬£¬ £¬£¬£¬£¬éæÃüÈËÊýΪ62 £¬£¬£¬£¬ £¬£¬£¬£¬Çó¸ÃÔº1996ÄêµÄ²¡ËÀÂÊ£¿£¿£¿£¿ £¿ £¿£¿£¿
¡¾½âÌâ°ì·¨¡¿
ÈçÆ¾Ö¤Ò»Ñùƽ³£¹«Ê½ÅÌËã £¬£¬£¬£¬ £¬£¬£¬£¬¸ÃÔº²¡ËÀÂÊΪ5ª±9% £¬£¬£¬£¬ £¬£¬£¬£¬¶øÆ¾Ö¤Ð£Õý¹«Ê½3ª²3ª²14ÅÌËãÔòΪ£º
ÓÉÓÚ1996ÄêÕûÄêéæÃüÈËÊý£¨d£©62ÈË£»£»£»£»£»£»£»£»1996ÄêÍ·ÔÚÔºÈËÊý£¨a£©1 400ÈË£»£»£»£»£»£»£»£»1996ÕûÄêÈëÔºÈËÊý£¨b£©1 235ÈË£»£»£»£»£»£»£»£»1996ÕûÄê³öÔºÈËÊý£¨c£©1 048ÈË ¡£¡£¡£¡£¡£¡£¡£¡£ÅÌËãЧ¹ûΪ£º

´ð£º¸ÃÔº1996Ä겡ËÀÂÊΪ4ª±2%£¨ÆäЧ¹ûÓë½ÓÄÉÒ»Ñùƽ³£¹«Ê½ÅÌËãЧ¹ûÏà²î1ª±8%£© ¡£¡£¡£¡£¡£¡£¡£¡£
8ª±ÖÎÓúÂÊ
ÊÇÆÀ¼ÛÁÆÐ§µÄÒ»¸ö³£ÓÃÖ¸±ê £¬£¬£¬£¬ £¬£¬£¬£¬Ö¸Ã¿°Ù¸öÖÎÁƲ¡ÈËÖÐÖÎÓúµÄÈËÊý ¡£¡£¡£¡£¡£¡£¡£¡£ÖÎÓúÂÊ¿Éϸ·ÖΪij²¡ÖÎÓúÂÊ £¬£¬£¬£¬ £¬£¬£¬£¬³öÔº²¡ÈËÖÎÓúÂÊ £¬£¬£¬£¬ £¬£¬£¬£¬Ä³ÁÆ·¨ÖÎÓúÂÊµÈ £¬£¬£¬£¬ £¬£¬£¬£¬µ«ÅÌË㹫ʽÏàËÆ£º

ʾÀý3ª²3ª²9ijҽԺ±¾Ô³öÔºÈËÊý274ÈË £¬£¬£¬£¬ £¬£¬£¬£¬ÆäÖÐÖÎÓúÕß256ÈË £¬£¬£¬£¬ £¬£¬£¬£¬ÎʳöÔº²¡È˵ÄÖÎÓúÂÊÊǼ¸¶à£¿£¿£¿£¿ £¿ £¿£¿£¿
ƾ֤¹«Ê½3ª²3ª²15£º

´ð£º¸ÃÔº±¾Ô³öÔº²¡ÈËÖÎÓúÂÊΪ93ª±4% ¡£¡£¡£¡£¡£¡£¡£¡£
9ª±Ñ¬È¾ÂÊ
ָijһÈËȺÔÚijһʱµãÉÏÆ½¾ùÿ°Ù£¨Ç§¡¢Íò£©¸öÉú³ÝÖÐѬȾijÖÖ²¡Ô­ÌåµÄÈËÊý ¡£¡£¡£¡£¡£¡£¡£¡£¹«Ê½Îª£º

10ª±ÎóÕïÂÊ
ÌåÏÖÔÚÕï¶ÏÖб¬·¢¹ýʧµÄƵÊý £¬£¬£¬£¬ £¬£¬£¬£¬³£´ÓÒÔÏÂÁ½¸ö·½Ãæ¾ÙÐÐÆÀ¼Û£º¢ÙÃÅÕïÕï¶ÏÓëסԺÕï¶ÏµÄ²î±ð£»£»£»£»£»£»£»£»¢ÚÁÙ´²Ó벡ÀíÕï¶ÏµÄ²î±ð ¡£¡£¡£¡£¡£¡£¡£¡£¹«Ê½Îª£º

ʾÀý3ª²3ª²10ÁÙ´²Õï¶ÏÉî¢ò¶È´´Ãæ293Àý £¬£¬£¬£¬ £¬£¬£¬£¬Ó벡ÀíÕï¶ÏÒ»ÖÂÕß280Àý £¬£¬£¬£¬ £¬£¬£¬£¬ÎóÕïÕß13Àý £¬£¬£¬£¬ £¬£¬£¬£¬ÇóÎóÕïÂÊÊǼ¸¶à£¿£¿£¿£¿ £¿ £¿£¿£¿
ƾ֤¹«Ê½£º

´ð£ºÉî¢ò¶È´´ÃæÁÙ´²Õï¶ÏÎóÕïÂÊΪ4ª±4% ¡£¡£¡£¡£¡£¡£¡£¡£
11ª±Â©ÕïÂÊ
ÌåÏÖÔÚÕï¶ÏÖб¬·¢ÒÅ©µÄƵÂÊ ¡£¡£¡£¡£¡£¡£¡£¡£ÅÌË㹫ʽÓëÎóÕïÂʹ«Ê½ÀàËÆ ¡£¡£¡£¡£¡£¡£¡£¡£
12ª±Î£ÏÕ¶È£¨degree of risk£©
ÌåÏÖijÒòËØÓëijÕ÷Ï󱬷¢Ö®¼äµÄÁªÏµÇ¿¶È £¬£¬£¬£¬ £¬£¬£¬£¬ÆäÕ÷Ïó¿ÉÌåÏÖΪ¼²²¡µÄ±¬·¢¡¢¸´·¢¡¢éæÃüµÈ ¡£¡£¡£¡£¡£¡£¡£¡£Ö÷Òª°üÀ¨Ïà¶ÔΣÏÕ¶È¡¢¹éÒþΣÏÕ¶È¡¢ÈËȺ¹éÒòΣÏÕ¶ÈÓë±ê×¼éæÃü±È ¡£¡£¡£¡£¡£¡£¡£¡£ÆäÖØµãÄÚÈݽ«ÔÚÏà¶ÔΣÏÕÐÔÕ½ÚÖÐÌÖÂÛ ¡£¡£¡£¡£¡£¡£¡£¡£

¡¾ÍøÕ¾µØÍ¼¡¿¡¾sitemap¡¿