zoty中欧体育

English zoty中欧体育集团企业邮箱

第五节 两个较大样本均数的μ磨练

作者:徐荣祥 出书社:中国科学手艺出书社 刊行日期:2009年7月

当两个样本数目较大时(即两组样本皆大于50) ,, ,,,,不必查t值表 ,, ,,,,可接纳μ磨练要领。。。。。。。。其公式为:

示例376某医生对100例重度烧伤病人和100名康健者的血清钠检查效果举行统计剖析 ,, ,,,,资料汇于下(表374)。。。。。。。。问组间有无显著性意义???? ? ???

【解题办法】
1建设无效假设和确定显著水准:H0:康健组与烧伤组血钾均数相同 ,, ,,,,μ1=μ2;;;;;H1:μ≠0;;;;;α=005。。。。。。。。
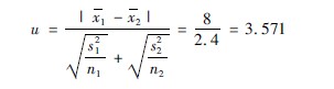
2盘算u值:

3盘算自由度:(100+100)-2=198 ,, ,,,,当n′=198时 ,, ,,,,t005≌1972 ,, ,,,,t001≌2345 ,, ,,,,t0001≌3340 ,, ,,,,今t=3571 ,, ,,,,即大于2345 ,, ,,,,也大于3340 ,, ,,,,则P<0001。。。。。。。。
4结论:重度烧伤病人与康健人较量 ,, ,,,,血钠水平下降具有显著性差别。。。。。。。。

【网站地图】【sitemap】