zoty中欧体育

English zoty中欧体育集团企业邮箱

第六节 方差不齐时两小样本的均数磨练

作者:徐荣祥 出书社:中国科学手艺出书社 刊行日期:2009年7月

所谓方差不齐,,,,,,,,是指两组的标准差相差太大,,,,,,,,若相差凌驾一倍,,,,,,,,可以一定为方差不齐,,,,,,,,较准确的盘算要领是F值盘算法,,,,,,,,如按本要领盘算,,,,,,,,应明确被磨练两组样本是否属于方差不齐,,,,,,,,即首先应举行齐性磨练确定其性子,,,,,,,,然后举行t磨练。。 。。。 。。
一、 两个方差的齐性磨练
前面已经讲过,,,,,,,,当两个样本均数举行较量时,,,,,,,,要求响应的两组总体方差相等,,,,,,,,即方差齐。。 。。。 。。可是,,,,,,,,纵然两组总体方差相等,,,,,,,,两组样本方差也会由于抽样误差的影响而不相等。。 。。。 。。磨练两组样本方差不等是否由于抽样误差所致,,,,,,,,可用方差齐性磨练,,,,,,,,也就是磨练σ21与σ22是否相等。。 。。。 。。要领用F磨练,,,,,,,,统计量F值按公式盘算:

式中s21为较大样本的方差,,,,,,,,s22为较小样的方差,,,,,,,,响应的自由度划分为n′1和n′2,,,,,,,,响应的样本含量划分为n1和n2。。 。。。 。。由于恒取s21>s22,,,,,,,,故F值一定大于1,,,,,,,,求得F值后查F界值表(方差齐性磨练用表,,,,,,,,表376),,,,,,,,得P值(F值愈大,,,,,,,,P值愈小),,,,,,,,作出结论。。 。。。 。。
示例377测得10名康健人和50例烧伤病人早期的RBC均值(1)和标准差(S),,,,,,,,磨练两组数据方差是否为齐性。。 。。。 。。
【解题办法】
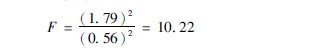
1建设磨练假设,,,,,,,,确定显著水准:①康健人:n=10,,,,,,,, x1=621×109/L,,,,,,,,s1=179×109/L;;;;;;;;②烧伤病人:n=50,,,,,,,,x1=434×109/L,,,,,,,,s2=056×109/L。。 。。。 。。
H0:两总体方差相等,,,,,,,,即σ21=σ22;;;;;;;; H1:两总体方差不等,,,,,,,,即σ21≠σ22;;;;;;;;α=005
2盘算磨练统计量:按公式3710盘算,,,,,,,,得:

3确定P值,,,,,,,,做出推断结论:以n′1=10-1=9,,,,,,,,n′2=50-1=49,,,,,,,,查F界值表(表376)。。 。。。 。。因1022>233(n′2=60),,,,,,,,P<005,,,,,,,,按α=005水准拒绝H0,,,,,,,,接受H1,,,,,,,,故可以为两总体方差不齐。。 。。。 。。
二、t′磨练
若两个总体的方差不齐时,,,,,,,,即σ21≠σ22时,,,,,,,,两小样本均数的较量,,,,,,,,可选择以下要领:①接纳适当的变量变换,,,,,,,,使之抵达方差齐的要求;;;;;;;;②接纳不要求方差齐的要领较量其漫衍,,,,,,,,如秩和磨练;;;;;;;;③接纳近似法t′磨练,,,,,,,,由于t′不平从t漫衍,,,,,,,,故需要按公式(3710)求界值t(系近似值)。。 。。。 。。公式划分为:

当确定磨练水准α后,,,,,,,,公式3712中的tα·n′1和tαn′2即可按n′1和n′2由表375查得,,,,,,,,s2x1、s2x2划分为两均数的标准误的平方和。。 。。。 。。
仍以示例376为例:由于已知两者方差不齐,,,,,,,,试较量两者均数有无差别。。 。。。 。。
H0:μ1=μ2;;;;;;;;H1:μ1≠μ2;;;;;;;;α=005。。 。。。 。。

n′1=10-1=9,,,,,,,,n′2=50-1=49。。 。。。 。。查t界值表(表371),,,,,,,,得t0059=2262,,,,,,,,t00549=2009。。 。。。 。。

今t′>t′005,,,,,,,,则P<005,,,,,,,,按α=005水准拒绝H0,,,,,,,,接受Hl,,,,,,,,故可以为两组的均数不等,,,,,,,,烧伤病人RBC的均数大于康健者。。 。。。 。。

 

【网站地图】【sitemap】