zotyÖÐÅ·ÌåÓý

English zotyÖÐÅ·ÌåÓý¼¯ÍÅÆóÒµÓÊÏä

µÚ¶þ½Ú Ïà¹ØÏµÊýµÄÅÌËã

×÷ÕߣºÐìÈÙÏé ³öÊéÉ磺Öйú¿ÆÑ§ÊÖÒÕ³öÊéÉç ¿¯ÐÐÈÕÆÚ£º2009Äê7ÔÂ

Ò»¡¢Ð¡Ñù±¾ÅÌËã·¨
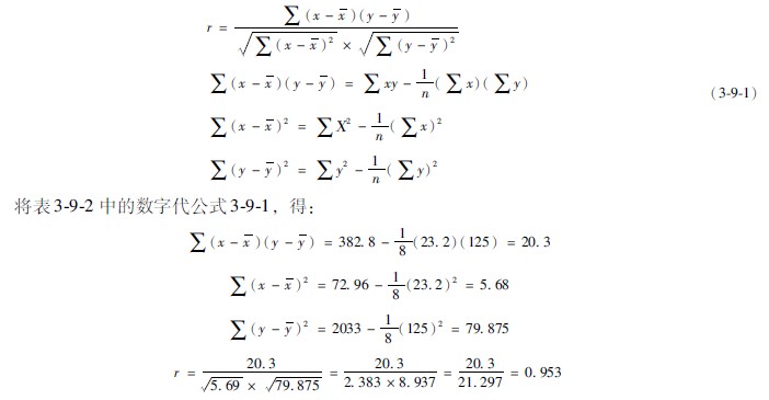
ʾÀý3ª²9ª²1²âµÃ8ÀýÉÕÉ˲¡È˵ÄѪ½¬°×ÂѰ×Ó뽺ÌåÉøÍ¸Ñ¹ÊýÖµ£¨±í3ª²9ª²1£©£¬£¬£¬£¬£¬£¬£¬£¬È·¶¨ËüÃÇÖ®¼äÊÇ·ñ±£´æÖ±Ïß¹ØÏµ £¿£¿£¿£¿£¿ £¿£¿ £¿

¡¾½âÌâ°ì·¨¡¿
1ª±Æ¾Ö¤±í3ª²9ª²1ÖеÄÊý×Ö£¬£¬£¬£¬£¬£¬£¬£¬ÒÔºá×ø±êÌåÏÖѪ½¬°×ÂѰ×(x)£¬£¬£¬£¬£¬£¬£¬£¬×Ý×ø±êÌåÏÖÉøÍ¸Ñ¹£¨y£©£¬£¬£¬£¬£¬£¬£¬£¬»æ³ÉÉ¢µãͼ£¨Ê¾Í¼3ª²9ª²1£©¡£ ¡£¡£¡£¡£¡£¡£´ÓËù»æÖƵÄͼÖпÉÒÔ¿´³ö£¬£¬£¬£¬£¬£¬£¬£¬ÕâЩµã×Ó»ù±¾³ÊÖ±ÏßÇ÷ÊÆ¡£ ¡£¡£¡£¡£¡£¡£


2ª±ÁÐÏà¹ØÏµÊýÅÌËã±í£¨±í3ª²9ª²2£©

3ª±ÅÌËãrÖµ£ºÆ¾Ö¤ÒÔϹ«Ê½ÅÌËãrÖµ¡£ ¡£¡£¡£¡£¡£¡£

4ª±½áÂÛ£ºrΪ0ª±953£¬£¬£¬£¬£¬£¬£¬£¬ÌåÏÖѪ½¬½ºÌåÉøÍ¸Ñ¹ËæÑª½¬°×ÂѰ×Ũ¶ÈµÄÔöÌí¶øÉÏÉý¡£ ¡£¡£¡£¡£¡£¡£
¶þ¡¢´óÑùÌìÖ°×é×ÊÁÏÅÌËã·¨
ÓÉÓÚ´óÑù±¾µÄԭʼ×ÊÁϽ϶࣬£¬£¬£¬£¬£¬£¬£¬Ó¦ÏÈÌåÀýÏà¹ØµÄƵÊý±í£¬£¬£¬£¬£¬£¬£¬£¬ÔÙÓüò½Ý·¨ÅÌËã¾ùÊý£¨x£©¡£ ¡£¡£¡£¡£¡£¡£Ïà¹ØÆµÊýÖÆ±íÒªÁìÓëµ¥±äÁ¿ÆµÊý±íÏàËÆ£¬£¬£¬£¬£¬£¬£¬£¬Ëù²î±ðµÄÊǵ¥±äÁ¿ÆµÊý±íÖ»°´Ò»ÖÖ±äÁ¿x·Ö×飬£¬£¬£¬£¬£¬£¬£¬¶øÏà¹ØÆµÊý±íÓÐÁ½¸ö±äÁ¿£¨x¡¢y£©£¬£¬£¬£¬£¬£¬£¬£¬È¡Ò»¸ö±äÁ¿£¨x£©Îª×ݱêÄ¿£¬£¬£¬£¬£¬£¬£¬£¬ÁíÒ»¸ö±äÁ¿£¨y£©Îªºá×ø±êÄ¿¡£ ¡£¡£¡£¡£¡£¡£×ݱêÄ¿ÓÉ×óµ½ÓÒ¡¢ÓÉСµ½´óдÔÚ±íµÄÉ϶Ë£»£»£»£»£»£» £»ºá±êÄ¿×ÔÉϵ½Ï¡¢ÓÉСµ½´óдÔÚ±íµÄ×ó²à¡£ ¡£¡£¡£¡£¡£¡£È»ºó»®¼Ç£¬£¬£¬£¬£¬£¬£¬£¬½Óÿ¶ÔÊý¾Ý¼ÇÔÚ×ݺá±êÄ¿Ïཻ´¦£¬£¬£¬£¬£¬£¬£¬£¬ÅÌËã¸÷×é¶ÎµÄƵÊý£¬£¬£¬£¬£¬£¬£¬£¬½«×ÝÐеÄ×ܼÆÐ´ÔÚÏÂÃæµÄfxºáÐÐÄÚ£¬£¬£¬£¬£¬£¬£¬£¬½«ºáÐеÄ×ÜÆµÊýдÔÚfy×ÝÐÐÄÚ¡£ ¡£¡£¡£¡£¡£¡£È»ºó²ÎÕÕ¼ÆÁ¿×ÊÁÏÖ¸±êµÄÐÎòÕÂ½ÚÆ½¾ùÊýµÄ¼ò½Ý·¨£¬£¬£¬£¬£¬£¬£¬£¬»®·ÖÇóx¡¢yµÄ¼ò½ÝÖµ£¨x¡¢fx£©£¬£¬£¬£¬£¬£¬£¬£¬¾ÙÐÐÔËËã¡£ ¡£¡£¡£¡£¡£¡£

ʾÀý3ª²9ª²2ijҽÉúÕÉÁ¿ÁË40ÀýÔçÆÚ´óÃæ»ýÉÕÉ˲¡È˵ÄѪ½¬ð¤¶È£¨CP£©£¬£¬£¬£¬£¬£¬£¬£¬ÊÓ²ìЧ¹û»ãÈë±í3ª²9ª²3ÖУ¬£¬£¬£¬£¬£¬£¬£¬ÊÔÇóÉÕÉËÃæ»ýÓëѪ½¬ð¤¶ÈÖ®¼äÏà¹ØÏµÊý £¿£¿£¿£¿£¿ £¿£¿ £¿

¡¾½âÌâ°ì·¨¡¿
£¨1£©×÷Ïà¹ØÅÌËã±í£¨±í3ª²9ª²3£©£ºÏȽ«×ÊÁϰ´ÉÕÉËÃæ»ý£¨ÊúÐУ©ºÍѪ½¬ð¤¶È£¨ºáÐУ©ÌîÈë±íÖУ¬£¬£¬£¬£¬£¬£¬£¬ÔÙ½«ÊúÐÐÓëºáÐÐÏཻµÄ²¡ÀýÊý£¨ÆµÊý£©ÌîÈëÏìÓ¦Ö®½»Ö¯´¦¡£ ¡£¡£¡£¡£¡£¡£Èç“¡«40%”TBSA×é¶ÎѪ½¬ð¤¶ÈÔÚ“1ª±6¡«”¶Î´¦ÓÐ1Àý£¬£¬£¬£¬£¬£¬£¬£¬¼´ÔÚ´Ë´¦Ìî1£¬£¬£¬£¬£¬£¬£¬£¬Óà·Â´Ë¡£ ¡£¡£¡£¡£¡£¡£
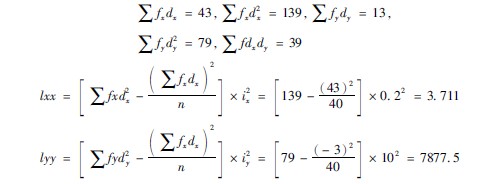
£¨2£©²ÎÕÕÆ½¾ùÊýÖµ¼°±ê×¼²îµÄ¼ò½Ý·¨£¬£¬£¬£¬£¬£¬£¬£¬»®·ÖÇó³öx¼°yµÄdx¼ò»¯Öµ£¨dx¡¢dy£©¡¢∑fxdx¡¢∑fydy¡¢ ∑fxd2x¼°fyd2y£¬£¬£¬£¬£¬£¬£¬£¬ÌîÈë±íµÄÏìӦλÖã¨×¢£º∑fx=∑fy£¬£¬£¬£¬£¬£¬£¬£¬±¾Àý¾ùΪ40£©¡£ ¡£¡£¡£¡£¡£¡£
£¨3£©±íÖÐ∑fdxµÄÅÌËãÒªÁ죺¸÷С¸ñµÄƵÊý£¨f£©³ËÏìÓ¦µÄdx£¬£¬£¬£¬£¬£¬£¬£¬ÔÙ½«¸÷³Ë»ýÏà¼Ó¡£ ¡£¡£¡£¡£¡£¡£ÈçyΪ“¡«70”¶ÎµÄÐÐÄÚ£¬£¬£¬£¬£¬£¬£¬£¬∑fdx =4×0£«1×1£«1×2£«1×4=7£»£»£»£»£»£» £»y=“¡«90”¶ÎÐÐÄÚ£¬£¬£¬£¬£¬£¬£¬£¬∑fdx=1×£¨-1£©£«2×0£«1×1£«3×2£«2×3£«1×4=16¡£ ¡£¡£¡£¡£¡£¡££¨×¢£º∑fdxµÄ×ܼÆÓ¦¼´ÊÇ∑fxdx £¬£¬£¬£¬£¬£¬£¬£¬±¾Àý½ÔΪ43£©¡£ ¡£¡£¡£¡£¡£¡£
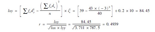
£¨4£©∑fdxdyµÄÅÌË㣺Ϊ¸÷ÐеÄ∑fdXÓëdyÏà³ËÖ®»ý¡£ ¡£¡£¡£¡£¡£¡£
£¨5£©ÇórÖµ£ºÒò±¾ÀýΪ´óÑù±¾×ÊÁÏ£¬£¬£¬£¬£¬£¬£¬£¬²»¿ÉÖ±½Ó´úÈëСÑù±¾r¹«Ê½£¬£¬£¬£¬£¬£¬£¬£¬Ðè½ÓÄÉ·Ö×鹫ʽÅÌËãr£º
¢ÙÇóÀë¾ù²îƽ·½ºÍÓëÀë¾ù²î»ýºÍ£º
ÇóÀë¾ù²îƽ·½ºÍ£¨lxx£¬£¬£¬£¬£¬£¬£¬£¬lyy£©£ºÀë¾ù²î»ýºÍ£¨lxy£©£»£»£»£»£»£» £»
±¾Àýn=40£¬£¬£¬£¬£¬£¬£¬£¬x×é¾àix=0ª±2£¬£¬£¬£¬£¬£¬£¬£¬y×é¾àiy=10£»£»£»£»£»£» £»


£¨5£©½áÂÛ£ºÒòrֵΪ0ª±494£¬£¬£¬£¬£¬£¬£¬£¬ËµÃ÷ÉÕÉËÔçÆÚѪ½¬ð¤¶ÈËæÉÕÉËÃæ»ýµÄÔö´ó¶øÉÏÉý¡£ ¡£¡£¡£¡£¡£¡£
Èý¡¢Ïà¹ØÏµÊýµÄÏÔÖøÐÔÄ¥Á·
ÉÏÊöÁ½ÀýµÄÏà¹ØÏµÊý¾ùÊÇÆ¾Ö¤Ñù±¾×ÊÁÏÅÌËã³öÀ´µÄ¡£ ¡£¡£¡£¡£¡£¡£ºÍÆäËûͳ¼ÆÁ¿Ò»Ñù£¬£¬£¬£¬£¬£¬£¬£¬Æ¾Ö¤Ñù±¾×ÊÁÏÅÌËã³öÀ´µÄÏà¹ØÏµÊýÒ²Ò»¶¨Êܵ½³éÑùÎó²îµÄÓ°Ïì¡£ ¡£¡£¡£¡£¡£¡£Ò²¾ÍÊÇ˵£¬£¬£¬£¬£¬£¬£¬£¬´ÓÏà¹ØÏµÊýΪ0µÄ×ÜÌå (¼´ÎÞÏßÐÔÏà¹Ø)ÖÐËæ»ú³éÑùÒ²¿ÉÄܳ鵽|r|£¾0µÄÑù±¾¡£ ¡£¡£¡£¡£¡£¡£Òò´Ë£¬£¬£¬£¬£¬£¬£¬£¬Í¨¹ýÅÌËã»ñµÃÏà¹ØÏµÊýºó£¬£¬£¬£¬£¬£¬£¬£¬»¹²»¿Éƾ֤|r|µÄ¾Þϸ¶Ôx¡¢y¹ØÏµµÄÇ×½üˮƽ×÷³öÅжϣ¬£¬£¬£¬£¬£¬£¬£¬ÐèÒª¾ÙÐÐrÏÔÖøÐÔÄ¥Á·£¬£¬£¬£¬£¬£¬£¬£¬ÒÔ±ãÔ¤ÅÌËãµÃµÄrÓɳéÑùÎó²î(¼´Ïà¹ØÏµÊýΪ0µÄ×ÜÌå)ÒýÆðµÄ¿ÉÄÜÐÔÓжà´ó¡£ ¡£¡£¡£¡£¡£¡£ÈôÊÇ´ÓÏà¹ØÏµÊýΪ0µÄ×ÜÌåÖÐËæ»ú³éµÃÑù±¾rµÄʱ»ú½Ï´ó(P>0ª±05)£¬£¬£¬£¬£¬£¬£¬£¬ÔòÑù±¾rºÜ¿ÉÄܳé×ÔrΪ0µÄ×ÜÌ壬£¬£¬£¬£¬£¬£¬£¬Á½Õß²î±ðÎÞÏÔÖøÒâÒ壻£»£»£»£»£» £»´Ëʱ×ÝÈ»|r|Öµ½ÏÁ¿´ó£¬£¬£¬£¬£¬£¬£¬£¬Ò²²»¿ÉÒÔΪxÓëyÓÐÏà¹Ø¹ØÏµ¡£ ¡£¡£¡£¡£¡£¡£·´Ö®£¬£¬£¬£¬£¬£¬£¬£¬ÈôÊÇ´ÓÏà¹ØÏµÊýΪ0µÄ×ÜÌåÖÐËæ»ú³éÈ¡»ñµÃÔÆÔÆ´óµÄÑù±¾rµÄʱ»ú½ÏС (P≤0ª±05)£¬£¬£¬£¬£¬£¬£¬£¬ÔòÒÔΪ´ËÑù±¾rºÜ¿ÉÄܲ»Êdzé×ÔrΪ0µÄ×ÜÌ壬£¬£¬£¬£¬£¬£¬£¬Á½Õß(Ñù±¾rºÍ×ÜÌå)Ïà²îÏÔÖø¡£ ¡£¡£¡£¡£¡£¡£´Ëʱ×ÝÈ»|r|½ÏÁ¿Ð¡£ ¡£¡£¡£¡£¡£¡£¬£¬£¬£¬£¬£¬£¬£¬ÎÒÃÇÒ²ÒÔΪxÓëyÓÐÏà¹Ø¹ØÏµ¡£ ¡£¡£¡£¡£¡£¡£Ö»ÓÐÏà¹ØÓÐÏÔÖøÒâÒåʱ£¬£¬£¬£¬£¬£¬£¬£¬ÎÒÃDzŻªÆ¾Ö¤Ïà¹ØÏµÊý¾ø¶ÔÖµµÄ¾ÞϸÀ´ËµÃ÷xÓëyÏ໥¹ØÏµµÄÇ×½üˮƽ¡£ ¡£¡£¡£¡£¡£¡£
Ïà¹ØÏµÊýµÄÏÔÖøÐÔÄ¥Á·¿ÉÓÃtÄ¥Á··¨ºÍ²é±í·¨È·¶¨£º

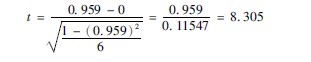
1ª±ÒÔʾÀý3ª²9ª²1ΪÀý£¬£¬£¬£¬£¬£¬£¬£¬ÅÌËãtÖµ£¬£¬£¬£¬£¬£¬£¬£¬µÃ£º

±¾Àý×ÔÓɶÈΪ£¨n′£©Îª6£¬£¬£¬£¬£¬£¬£¬£¬ P0ª±05½çֵΪ2ª±447£¬£¬£¬£¬£¬£¬£¬£¬P0ª±01½çֵΪ3ª±707£¬£¬£¬£¬£¬£¬£¬£¬±¾Àýt=8ª±305£¬£¬£¬£¬£¬£¬£¬£¬²»µ«´óÓÚ2ª±447£¬£¬£¬£¬£¬£¬£¬£¬Ò²´óÓÚ3ª±707£¬£¬£¬£¬£¬£¬£¬£¬¹ÊP<0ª±01£¬£¬£¬£¬£¬£¬£¬£¬¼´Ïà¹ØÏµÊýºÜÊÇÏÔÖø¡£ ¡£¡£¡£¡£¡£¡£
2ª±ÒÔʾÀý3ª²9ª²2ΪÀý£¬£¬£¬£¬£¬£¬£¬£¬ÅÌËãtÖµ£¬£¬£¬£¬£¬£¬£¬£¬µÃ£º

±¾Àý×ÔÓɶÈ(n′)Ϊ38£¬£¬£¬£¬£¬£¬£¬£¬ P0ª±05½çֵΪ2ª±024£¬£¬£¬£¬£¬£¬£¬£¬P0ª±01½çֵΪ2ª±712£¬£¬£¬£¬£¬£¬£¬£¬P0ª±001½çֵΪ3ª±566£¬£¬£¬£¬£¬£¬£¬£¬±¾Àýt=3ª±50£¬£¬£¬£¬£¬£¬£¬£¬´óÓÚ2ª±024ºÍ2ª±712£¬£¬£¬£¬£¬£¬£¬£¬µ«Ð¡ÓÚ3ª±566£¬£¬£¬£¬£¬£¬£¬£¬¹ÊP<0ª±001£¬£¬£¬£¬£¬£¬£¬£¬¼´Ïà¹ØÏµÊýºÜÊÇÏÔÖø¡£ ¡£¡£¡£¡£¡£¡£

¡¾ÍøÕ¾µØÍ¼¡¿¡¾sitemap¡¿