zotyÖÐÅ·ÌåÓý

English zotyÖÐÅ·ÌåÓý¼¯ÍÅÆóÒµÓÊÏä

µÚÈý½Ú Ö±Ï߻ع鷽³Ì

×÷ÕߣºÐìÈÙÏé ³öÊéÉ磺Öйú¿ÆÑ§ÊÖÒÕ³öÊéÉç ¿¯ÐÐÈÕÆÚ£º2009Äê7ÔÂ

Ò»¡¢Ö±Ï߻ع鷽³ÌµÄ¿´·¨
Ëùν»Ø¹é£¬£¬£¬£¬£¬£¬ÊÇ˵µ±Ò»ÖÖ¹ÛÏó(y)ÊÜÁíÒ»ÖÖÕ÷Ïó(x)µÄÓ°Ï죬£¬£¬£¬£¬£¬ÖÂʹ(y)Ëæ×ÅÕ÷Ïó(x)µÄ±ä»»¶øÓмÍÂɵı任ʱ£¬£¬£¬£¬£¬£¬ÕâÖÖЭͬ±äÒìµÄ¹ØÏµÔÚͳ¼ÆÑ§ÖгÆÖ®Îª»Ø¹é¡£¡£¡£¡£¡£¡£¡£»£»£» £»£» £»£»Ø¹éÆÊÎöÊǵ±Ñо¿Á½ÖÖÊÂÎï¼äµÄÏ໥¹ØÏµÊ±£¬£¬£¬£¬£¬£¬ÐÎòÆäÖÐÒ»ÖÖÊÂÎïÒÀ´æÁíÒ»ÖÖÊÂÎï±ä»»µÄ¼ÍÂÉ¡£¡£¡£¡£¡£¡£¡£Æä±í´ïʽΪ£º


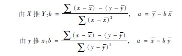
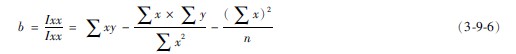
ʽÖÐyΪԤ¼ÆÖµ£»£»£» £»£» £»£»αΪ³£Êý£¬£¬£¬£¬£¬£¬Ò²³ÆÎª½Ø¾à£¬£¬£¬£¬£¬£¬¼´µ±x¼´ÊÇÁãʱÔڻعéÖ±ÏßÖáÉϵĽ»µã£»£»£» £»£» £»£»bΪ»Ø¹éϵÊý£¬£¬£¬£¬£¬£¬ËüÊǻعéÖ±ÏßµÄбÂÊ£¬£¬£¬£¬£¬£¬ÆäÒâÒåÊÇÿµ±x±ä»»Ò»¸öµ¥Î»£¬£¬£¬£¬£¬£¬ÔòyËæÖ®±ä»»b¸öµ¥Î»¡£¡£¡£¡£¡£¡£¡£
Ö±Ï߻عéÆÊÎöµÄÄ¿µÄÊÇÇó³öÒ»ÌõÄÜÈ·Çз´Ó¦±¾×ÊÁϵĻعé±ä»»¼ÍÂɵÄÖ±Ïß·½³Ìʽ£¬£¬£¬£¬£¬£¬ÒÔͨ¹ý´ËʽÓÉxÖµÔ¤¼ÆyÖµ¡£¡£¡£¡£¡£¡£¡£Ò»Ñùƽ³£ÒªÇ󻨹鷽³ÌÄÜÖª×ãÏÂÊöÌõ¼þ£º¼´´Ó»Ø¹é·½³ÌÍÆËã³öµÄyÖµÓëÏÖʵyÖµÖ®²îµÄƽ·½ºÍ£Û∑(y-y)£Ý2ÊÇ×îСֵ¡£¡£¡£¡£¡£¡£¡£È·Á¢Ö±Ï߻ع鷽³ÌʽµÄÒªº¦ÊÇÇó³ö»Ø¹éϵÊýbºÍ½Ø¾àᣬ£¬£¬£¬£¬£¬ËüÃǵÄÅÌË㹫ʽΪ£º
¶þ¡¢ÇóÖ±Ï߻ع鷽³ÌµÄ»ù±¾ÒªÁì
£¨Ò»£©Ð¡Ñù±¾µÄÅÌËãÒªÁì
µ±Ô­Ê¼Êý¾Ýδ¼¸£¨n<40£©Ê±£¬£¬£¬£¬£¬£¬¿ÉÖ±½Ó°´Êµ²âÊý¾ÝX¡¢Y£¬£¬£¬£¬£¬£¬Çó∑X¡¢∑Χ2¡¢∑Y¡¢∑Y2¼°∑XY¡£¡£¡£¡£¡£¡£¡£´úÈëÏÂÁй«Ê½(3ª²9ª²6)¡¢(3ª²9ª²7) ¡¢(3ª²9ª²8) ¡¢(3ª²9ª²9)£¬£¬£¬£¬£¬£¬Çóα¡¢bºÍÖ±Ï߻ع鷽³Ì¡£¡£¡£¡£¡£¡£¡£

ʽÖÐIxx=∑£¨x-x£©£¨y-y£©(Àë¾ù²î»ýºÍ)
Ixx=∑£¨x-X£©2£¨Àë¾ù²îƽ·½ºÍ£©

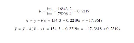
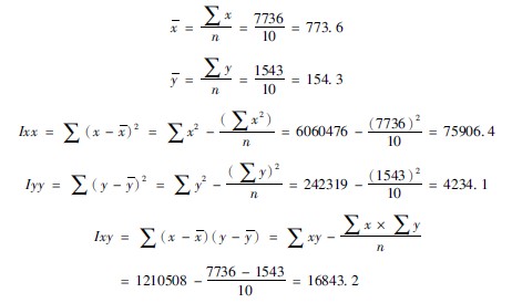
ʾÀý3ª²9ª²3ijÑо¿Ö°Ô±ÊÓ²ìθ³¦ÓªÑø½ºÄÒµÄÓªÑø¼ÛÖµ£¬£¬£¬£¬£¬£¬ÓÃÃ÷È·Êó×öÊÔÑ飬£¬£¬£¬£¬£¬¶ÔÿֻÃ÷È·ÊóÔÚÊÓ²ìʱ´úθ³¦ÓªÑø½ºÄÒµÄÓÃÁ¿£¨g£©ºÍÌåÖØÔöÌíÁ¿£¨g£©»ãÈë±í£¨3ª²9ª²4£©ÖУ¬£¬£¬£¬£¬£¬Æ¾Ö¤Ô­Ê¼×ÊÁÏÊÔ×÷Ö±Ï߻عéÆÊÎö¡£¡£¡£¡£¡£¡£¡£

¡¾½âÌâ°ì·¨¡¿
1ª±ÏÈÁгöÖ±Ï߻عéÆÊÎöÅÌËã±í£¬£¬£¬£¬£¬£¬Çó»ù´¡ÊýÖµ£¨±í3ª²9ª²5£©£º

2ª±Æ¾Ö¤±í3ª²9ª²5ÖеĻù´¡ÊýÖµÅÌËãx¡¢yµÄ¾ùÊý£¨x¡¢y£©¡¢Àë¾ù²îƽ·½ºÍ£¨Ixx¡¢Iyy£©¡¢Àë¾ù²î»ýºÍ£¨Ixy£©¡£¡£¡£¡£¡£¡£¡£

3ª±Æ¾Ö¤¹«Ê½(3ª²9ª²6)¡¢(3ª²9ª²7) ¡¢(3ª²9ª²8)£¬£¬£¬£¬£¬£¬Çób¡¢αºÍ»Ø¹é·½³Ì¡£¡£¡£¡£¡£¡£¡£

4ª±°´ÇóµÃµÄÖ±Ï߻ع鷽³Ì£¬£¬£¬£¬£¬£¬ÔÚXÖµ¹æÄ£ÄÚí§ÒâÈ¡Á½µã£¨x1y1£©£¬£¬£¬£¬£¬£¬£¨x22£©£¬£¬£¬£¬£¬£¬ÏàÁ¬¼´µÃ»Ø¹éÖ±Ïß¡£¡£¡£¡£¡£¡£¡£
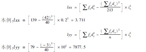
£¨¶þ£©´óÑù±¾µÄÇó·¨
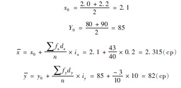
µ±Ô­Ê¼×ÊÁϽÏÁ¿¶àʱ£¬£¬£¬£¬£¬£¬½ÓСÑù±¾´¦Öóͷ£¹«Ê½ÅÌËãÆäÊÂÇéÁ¿Ï൱µÄ´ó£¬£¬£¬£¬£¬£¬¿É°´Ö±ÏßÏà¹ØÏµÊýµÄ¼ò½ÝÒªÁìÏÈ»æÖÆË«±äÁ¿ÆµÊý±í£¬£¬£¬£¬£¬£¬È»ºóÔÙÆ¾Ö¤±íÖеĻù´¡ÊýÖµ»®·ÖÅÌËãx¡¢yµÄ¾ùÊý£¨x¡¢y£©¡¢Àë¾ù²îƽ·½ºÍ£¨Ixx¡¢Iyy£©¡¢Àë¾ù²î»ýºÍ£¨Ixy£©¡£¡£¡£¡£¡£¡£¡£ÏÖÒÔʾÀý3ª²9ª²2ΪÀý£¬£¬£¬£¬£¬£¬ÊÔÓüò½ÝÒªÁìÅÌËã»Ø¹é·½³Ì¡£¡£¡£¡£¡£¡£¡£

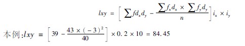
ʾÀý3ª²9ª²2Ñù±¾Êýn=40£¬£¬£¬£¬£¬£¬×é¾àix=0ª±2£¬£¬£¬£¬£¬£¬×é¾àiy=10£¬£¬£¬£¬£¬£¬(∑fxdx)=43£¬£¬£¬£¬£¬£¬∑fxd2x=139£¬£¬£¬£¬£¬£¬∑fYdY=-3£¬£¬£¬£¬£¬£¬∑fyd2y=79£¬£¬£¬£¬£¬£¬∑fdXdY=39¡£¡£¡£¡£¡£¡£¡£
¡¾½âÌâ°ì·¨¡¿
1ª±ÅÌËã¾ùÊý£º±¾Àý¼Ù¶¨¾ùÊý£¨È¡×éÖÐÖµ£¬£¬£¬£¬£¬£¬x0Ϊ“¡«2ª±0”×éµÄ×éÖÐÖµ£©¡£¡£¡£¡£¡£¡£¡£

2ª±Àë¾ù²îµÄƽ·½ºÍ£º

3ª±Àë¾ù²î»ýºÍ£º

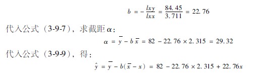
4ª±°´¹«Ê½£¨3ª²9ª²6£©£¬£¬£¬£¬£¬£¬Ç󻨹éϵÊýb£º

Ö±Ï߻ع鷽³Ì£º=29ª±32£«22ª±76x
´ð£ºÆäÖ±Ï߻ع鷽³ÌΪ=29ª±32£«22ª±76x¡£¡£¡£¡£¡£¡£¡£
Èý¡¢»Ø¹éϵÊýµÄÏÔÖøÐÔÄ¥Á·
»Ø¹éϵÊýÏÔÖøÐÔÄ¥Á·µÄÒâÒåÓëÏà¹ØÏµÊýµÄÏÔÖøÐÔÄ¥Á·µÄÒâÒåÏàͬ£¬£¬£¬£¬£¬£¬Æä»Ø¹éϵÊý(b)Ò²ÊÇÒò³éÑùÑо¿µÃÀ´µÄ£¬£¬£¬£¬£¬£¬×ÝÈ»ÑÏ¿á°´Ëæ»ú³éÑù£¬£¬£¬£¬£¬£¬»Ø¹éϵÊýÒ²±£´æ³éÑùÎó²îµÄÎÊÌ⣬£¬£¬£¬£¬£¬Ò²Ó¦¾ÙÐÐÏÔÖøÐÔÄ¥Á·¡£¡£¡£¡£¡£¡£¡£µ±y±äÁ¿Ìý´ÓÕý̬ÂþÑÜʱ£¬£¬£¬£¬£¬£¬»Ø¹éϵÊýµÄÏÔÖøÐÔÄ¥Á·¿ÉÒÔÓÃtÄ¥Á·£¬£¬£¬£¬£¬£¬Ò²¿ÉÒÔÓ÷½²îÆÊÎöÒªÁìÇóµÃ¡£¡£¡£¡£¡£¡£¡£±¾½Ú½öÏÈÈÝtÄ¥Á·ÒªÁì¡£¡£¡£¡£¡£¡£¡£
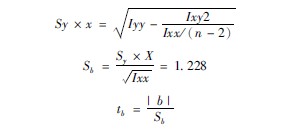
ÓÃtÄ¥Á·ÒªÁìÄ¥Á·»Ø¹éϵÊý£¨b£©ÊÇ·ñÏÔÖø£¬£¬£¬£¬£¬£¬ÏÈÆ¾Ö¤ÒÔϹ«Ê½»®·ÖÅÌËãsy¡¢xºÍ»Ø¹éϵÊýµÄ±ê×¼Îó£¨sb£©£¬£¬£¬£¬£¬£¬È»ºóÅÌËãtÖµ¡£¡£¡£¡£¡£¡£¡£Æä¹«Ê½»®·ÖΪ (3ª²9ª²10)¡¢(3ª²9ª²11) ¡¢(3ª²9ª²12)£º

µ±ÇóµÃtÖµºó£¬£¬£¬£¬£¬£¬Æ¾Ö¤×ÔÓɶȣ¨n-2£©²étÖµ±í£¬£¬£¬£¬£¬£¬Ö÷ҪĿµÄÊÇÓëP=0ª±05Ï൱µÄÁÙ½çÖµ£Ût£¨n′£©0ª±05£Ý¾ÙÐнÏÁ¿¡£¡£¡£¡£¡£¡£¡£ÈôÊÇÇóµÃµÄtÖµ< t£¨n′£©0ª±05£¬£¬£¬£¬£¬£¬ÔòP>0ª±05£¬£¬£¬£¬£¬£¬»Ø¹éϵÊýÎÞÏÔÖøÒâÒ壻£»£» £»£» £»£»Ïà·´£¬£¬£¬£¬£¬£¬ÈôÊÇÇóµÃµÄtÖµ> t£¨n′£©0ª±05£¬£¬£¬£¬£¬£¬ÔòP<0ª±05£¬£¬£¬£¬£¬£¬»Ø¹éϵÊýÓÐÏÔÖøÒâÒ壻£»£» £»£» £»£»ÈôÊÇÇóµÃµÄtÖµ> t£¨n′£©0ª±01£¬£¬£¬£¬£¬£¬ÔòP<0ª±01£¬£¬£¬£¬£¬£¬»Ø¹éϵÊýÓкÜÊÇÏÔÖøÒâÒå¡£¡£¡£¡£¡£¡£¡£
ÏÖÒÔÀý3ª²9ª²3ΪÀý£¬£¬£¬£¬£¬£¬Ä¥Á·Æä»Ø¹éϵÊýÓÐÎÞÏÔÖøÒâÒå¡£¡£¡£¡£¡£¡£¡£
ÓÉÓÚÒÑÖªIyy=4234ª±1£¬£¬£¬£¬£¬£¬  Ixx=75906ª±4£¬£¬£¬£¬£¬£¬  Ixy=16843ª±2£¬£¬£¬£¬£¬£¬n=10£¬£¬£¬£¬£¬£¬ b=0ª±2219£¬£¬£¬£¬£¬£¬½«ÒÔÉÏÊý¾Ý»®·Ö´úÈ빫ʽ£¨3ª²9ª²10£©¡¢£¨3ª²9ª²11£©¡¢£¨3ª²9ª²12£©£¬£¬£¬£¬£¬£¬µÃ£º

²ét½çÖµ±í£¨¸½±í4£©£ºn′=8£¨10-2£©Ê±£¬£¬£¬£¬£¬£¬t£¨8£©0ª±01=3ª±355¡£¡£¡£¡£¡£¡£¡£±¾Àýt=7ª±7587£¬£¬£¬£¬£¬£¬p<0ª±01£¬£¬£¬£¬£¬£¬ »Ø¹éϵÊýÓкÜÊÇÏÔÖøÒâÒå¡£¡£¡£¡£¡£¡£¡£
ËÄ¡¢Ïà¹ØºÍ»Ø¹éÆÊÎöӦע֨µÄÊÂÏî
1ª± Ã÷È·Ïà¹ØÓë»Ø¹éÆÊÎöµÄʵÖÊÄÚÈÝ
Ïà¹ØÏµÊý˵Ã÷Á½±äÁ¿¼ä¹ØÏµµÄÇ×½üˮƽ£¬£¬£¬£¬£¬£¬»Ø¹é·½³Ì˵Ã÷Á½±äÁ¿¼äµÄÊýÄ¿¹ØÏµ£¬£¬£¬£¬£¬£¬Á½Õß˵Ã÷µÄÎÊÌâ²î±ð£¬£¬£¬£¬£¬£¬Ö®¼äÓÐÏà¹Ø¹ØÏµ¡£¡£¡£¡£¡£¡£¡£Òò´Ë£¬£¬£¬£¬£¬£¬ÈôÊǻعéϵÊýÏÔÖøÐÔÄ¥Á·ÓÐÏÔÖøÐԵϰ£¬£¬£¬£¬£¬£¬Ïà¹ØÏµÊýÒ²Ò»¶¨ÊÇÏÔÖøµÄ£¬£¬£¬£¬£¬£¬·´Ö®ÒàÈ»¡£¡£¡£¡£¡£¡£¡£
2ª±×¼È·Ã÷È·Ïà¹ØÆÊÎöµÄ×÷ÓÃ
Ïà¹ØÆÊÎöÖ»ÊÇÒÔÏà¹ØÏµÊýÀ´ÐÎòÁ½¸ö±äÁ¿¼äÏ໥¹ØÏµµÄÇ×½üˮƽºÍÆ«Ïò£¬£¬£¬£¬£¬£¬²¢²»¿ÉÆÊÎöÁ½ÊÂÎï»òÕ÷Ïó¼ä±£´æÁªÏµµÄʵÖÊ¡£¡£¡£¡£¡£¡£¡£²¢ÇÒÏà¹Ø²¢·×Æç¶¨¾ÍÊÇÒò¹û¹ØÏµ£¬£¬£¬£¬£¬£¬Çв»¿É´¿´âÒÀÀµÏà¹ØÏµÊý»ò»Ø¹éϵÊýµÄÏÔÖøÐÔ֤ʵÒò¹û¹ØÏµÖ®±£´æ¡£¡£¡£¡£¡£¡£¡£ÒªÖ¤ÊµÁ½ÊÂÎï¼äµÄÒò¹û¹ØÏµ£¬£¬£¬£¬£¬£¬±ØÐèÆ¾½åרҵ֪ʶ´ÓÀíÂÛÉϼÓÒÔÆÊÎö¡£¡£¡£¡£¡£¡£¡£¿ÉÊÇ£¬£¬£¬£¬£¬£¬µ±ÊÂÎï¼äµÄÒò¹û¹ØÏµÎ´±»ÊìϤǰ£¬£¬£¬£¬£¬£¬Ïà¹ØÆÊÎö¿ÉΪÀíÂÛÑо¿ÌṩÏßË÷¡£¡£¡£¡£¡£¡£¡£
3ª±²»Òª°ÑºÁÎÞ¹ØÁªµÄÁ½¸öÊÂÎï»òÕ÷ÏóÓÃÀ´×÷Ïà¹Ø»ò»Ø¹éÆÊÎö£¬£¬£¬£¬£¬£¬²»È»ÊÇûÓÐÒâÒåµÄ¡£¡£¡£¡£¡£¡£¡£ÁíÍ⣬£¬£¬£¬£¬£¬Ïà¹ØÆÊÎöֻ˵Ã÷Ïà¹Ø¡£¡£¡£¡£¡£¡£¡£
4ª±²»Òª°ÑÏà¹ØÏÔÖøÐÔ¾ÞϸÎó½âΪÏà¹ØË®Æ½µÄ¾Þϸ¡£¡£¡£¡£¡£¡£¡£Ïà¹ØÏµÊýÊÇ˵Ã÷Á½ÊÂÎï¼äÇ×½üˮƽµÄ£¬£¬£¬£¬£¬£¬ rµÄ¾ø¶ÔÖµÔ½¿¿½üÓÚ1£¬£¬£¬£¬£¬£¬Ïà¹ØÔ½Ç×½ü£»£»£» £»£» £»£»Ô½¿¿½ü0£¬£¬£¬£¬£¬£¬ÔòÏà¹ØË®Æ½Ô½ËÉÉ¢¡£¡£¡£¡£¡£¡£¡£Ïà¹ØÏµÊýµÄÏÔÖøÐÔÄ¥Á·ÊÇ˵Ã÷ÓɳéÑùÎó²îÒýÆðÕâÑù´óµÄrÖµµÄ¿ÉÄÜÐÔÓжà´ó¡£¡£¡£¡£¡£¡£¡£P>0ª±05˵Ã÷ÓɳéÑùÎó²îÒýÆðÕâÑù´óµÄrÖµµÄ¿ÉÄÜÐÔ´óÓÚ5%£¬£¬£¬£¬£¬£¬Òò´Ë¶ø²»É¨³ýËü³é×ÔÓÚÎÞÏà¹ØµÄ×ÜÌå¡£¡£¡£¡£¡£¡£¡£Ö»ÓÐP≤0ª±05£¬£¬£¬£¬£¬£¬ r²ÅÓÐÒâÒå¡£¡£¡£¡£¡£¡£¡£
5ª±ÔڻعéÆÊÎöÖУ¬£¬£¬£¬£¬£¬ÓÉxÍÆËãy»òÓÉyÍÆËãx £¬£¬£¬£¬£¬£¬Æä»Ø¹é·½³Ì²î±ð£¬£¬£¬£¬£¬£¬²»¿É»ìÓᣡ£¡£¡£¡£¡£¡£ÍÆË㹫ʽÈçÏ£º

6ª±Ïà¹ØÓë»Ø¹éµÄÇø±ðºÍÁªÏµ
Ïà¹ØÌåÏÖÁ½±äÁ¿¼äµÄÏ໥¹ØÏµÊÇ˫ƫÏòµÄ¡£¡£¡£¡£¡£¡£¡£¶ø»Ø¹éÔòÌåÏÖyËæx¶ø×ª±ä£¬£¬£¬£¬£¬£¬ÕâÖÖ¹ØÏµÊǵ¥Æ«ÏòµÄ¡£¡£¡£¡£¡£¡£¡£Ò½Ñ§×ÊÁÏÖеÄÓÐЩ×ÊÁÏÓÃÏà¹ØÌåÏÖ½ÏÏàÒË£¬£¬£¬£¬£¬£¬ºÃ±ÈÐÖµÜÓë½ãÃüäµÄÉí³¤¹ØÏµ¡¢È˵ÄÉí³¤Óëǰ±Û³¤Ö®¼äµÄ¹ØÏµµÈ×ÊÁÏ¡£¡£¡£¡£¡£¡£¡£µ«ÓÐЩ×ÊÁÏÓÃÏà¹ØºÍ»Ø¹é¶¼²»ÏàÒË£¬£¬£¬£¬£¬£¬´ËʱÐëÊÓÑо¿ÐèÒª¶ø¶¨¡£¡£¡£¡£¡£¡£¡£¾ÍÒ»Ñùƽ³£ÅÌËã³ÌÐòÀ´Ëµ£¬£¬£¬£¬£¬£¬ÊÇÏÈÇó³öÏà¹ØÏµÊýr²¢¶ÔÆä¾ÙÐмÙÉèÄ¥Á·£¬£¬£¬£¬£¬£¬ÈôÊÇrÏÔÖø²¢ÓоÙÐлعéÆÊÎöÖ®ÐëÒª£¬£¬£¬£¬£¬£¬ÔÙ½¨Éè»Ø¹é·½³Ì¡£¡£¡£¡£¡£¡£¡£
7ª±ÊʺÏ×÷Ïà¹ØºÍ»Ø¹éÆÊÎöµÄ×ÊÁÏͨ³£ÓÐÁ½ÖÖ×ÊÁÏ
£¨1£©Ò»¸ö±äÁ¿xÊÇÑ¡¶¨µÄ£¬£¬£¬£¬£¬£¬ÁíÒ»¸ö±äÁ¿yÊÇ´ÓÕý̬ÂþÑܵÄ×ÜÌåÖÐËæ»ú³éÈ¡µÄ£¬£¬£¬£¬£¬£¬ÒË×÷»Ø¹éÆÊÎö¡£¡£¡£¡£¡£¡£¡£
£¨2£©Á½±äÁ¿x¡¢y£¨»òx1¡¢x2£©¶¼ÊÇ´ÓÕý̬ÂþÑܵÄ×ÜÌåÖÐËæ»ú³éÈ¡µÄ£¬£¬£¬£¬£¬£¬¼´ÊÇÕý̬˫±äÁ¿ÖеÄËæ»úÑù±¾¡£¡£¡£¡£¡£¡£¡£Õâʱ£¬£¬£¬£¬£¬£¬ÈôÐèÒªÓÉÒ»¸ö±äÁ¿ÍÆËãÁíÒ»¸ö±äÁ¿¿É×÷»Ø¹éÆÊÎö£»£»£» £»£» £»£»ÈôÖ»Ðè˵Ã÷Á½±äÁ¿¼äµÄÏ໥¹ØÏµ¿É×÷Ïà¹ØÆÊÎö¡£¡£¡£¡£¡£¡£¡£ÈôÊDZäÁ¿£¨Ò»¸ö»òÁ½¸ö£©³ÊÏÔ×ÅÆ«Ì¬Ê±£¬£¬£¬£¬£¬£¬Ðë¾­ÓÉÊʵ±µÄ±äÁ¿´ú»»£¨Èç¶ÔÊý´ú»»µÈ£©£¬£¬£¬£¬£¬£¬Ê¹×ÊÁϽÓÊÜÕý̬ÂþÑܺóÔÙ×öÏà¹ØÓë»Ø¹éÆÊÎö£¬£¬£¬£¬£¬£¬»òÕß½ÓÄÉÖÈÏà¹Ø·¨¡£¡£¡£¡£¡£¡£¡£

¡¾ÍøÕ¾µØÍ¼¡¿¡¾sitemap¡¿